Open Access

Fig. 2

image

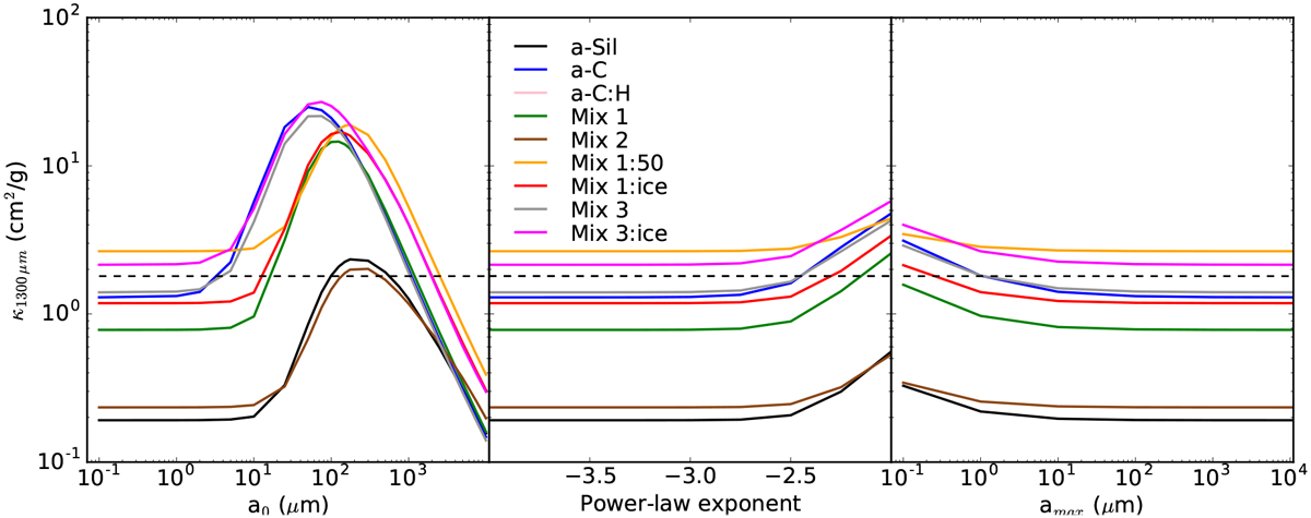
Left: mass absorption coefficients κ at 1.3 mm for log-normal size distributions centred on a0 and for the dust compositions described in Sect. 2.1 and Table 1. Black, blue, pink, green, brown, orange, red, grey, and magenta lines show the cases of a-Sil, a-C, a-C:H, Mix 1, Mix 2, Mix 1:50, Mix 1:ice, Mix 3, and Mix 3:ice grains, respectively. Mass absorption coefficients of pure a-C:H grains are always lower than 10−4 cm2 g−1 and thus not visible on the figures. The black dashed line shows κ = 1.8 cm2 g−1, a value close to those of the models commonly used in the literature with a gas-to-dust ratio of 100 (e.g. Beckwith et al. 1990; D’Alessio et al. 2001; Andrews et al. 2009; Birnstiel et al. 2018). Middle: same for power-law size distributions d n∕d aap with variable exponent p and 0.01 μm ≤ a ≤ 10 cm. Right: same for power-law size distributions with p= − 3.5, amin = 0.01 μm, and variable amax.

Current usage metrics show cumulative count of Article Views (full-text article views including HTML views, PDF and ePub downloads, according to the available data) and Abstracts Views on Vision4Press platform.

Data correspond to usage on the plateform after 2015. The current usage metrics is available 48-96 hours after online publication and is updated daily on week days.

Initial download of the metrics may take a while.