Press Release
Free Access

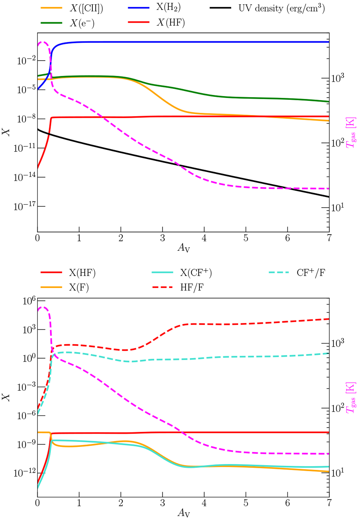
Fig. 9

image

Upper panel: abundances of HF, C+, H2 and electron with UV density corresponding to a Meudon PDR model with a pressure of P = 108   cm−3 K. The one illuminated PDR model is considered. The radiation field of χ = 2.6 × 104. Lower panel:abundance of F and the ratio of HF with F and CF+ are given to figure how much of F and CF+ is pushed in to HF. It must be noted that X(F) denotes the abundance of atomic fluorine while in the ratios for the total gas phase fluorine (F + CF+ + HF) abundance. The dashed magenta line shows the gas temperature (Tgas) shown on the right-hand y-axis in both panels.

Current usage metrics show cumulative count of Article Views (full-text article views including HTML views, PDF and ePub downloads, according to the available data) and Abstracts Views on Vision4Press platform.

Data correspond to usage on the plateform after 2015. The current usage metrics is available 48-96 hours after online publication and is updated daily on week days.

Initial download of the metrics may take a while.