Free Access

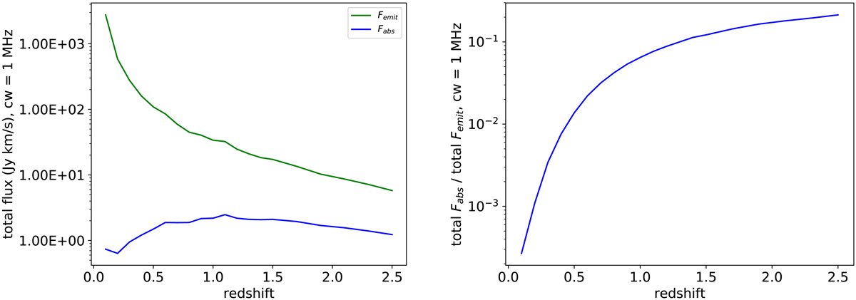
Fig. 5.

image

Variation of total absorbed and emitted fluxes (left panel) and the ratio of the total absorbed-to-emitted flux (right panel) using the O9 simulated sky and the assumptions listed in Sect. 2. The results are for all sources within voxels defined by channel width of 1 MHz, placed at various redshifts. Note though that the ratio of the total absorbed-to-emitted flux remains unchanged for channel widths ranging between 0.1 and 10 MHz.

Current usage metrics show cumulative count of Article Views (full-text article views including HTML views, PDF and ePub downloads, according to the available data) and Abstracts Views on Vision4Press platform.

Data correspond to usage on the plateform after 2015. The current usage metrics is available 48-96 hours after online publication and is updated daily on week days.

Initial download of the metrics may take a while.