Free Access

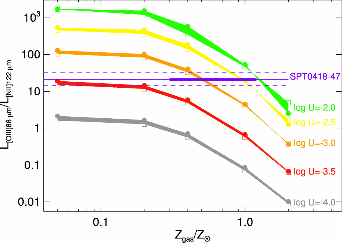
Fig. 5.

image

[OIII] 88 μm over [NII] 122 μm line ratio as a function of metallicity. The colour shaded areas mark the range of ratios predicted by the CLOUDY models of Pereira-Santaella et al. (2017) with the same ionization parameter but different densities (circles n = 10 cm−3 and squares n = 104 cm−3). The colour coding (grey, red, orange, yellow, and green) indicates the ionization parameter (log U = −4.0, −3.5, −3.0, −2.5, and −2.0, respectively). The solid horizontal purple line marks the observed ratio in SPT 0418−47 with the uncertainty range delimited by dashed lines. The thick part of the horizontal line indicates the allowed range of log U as derived from the continuum SED (Fig. 4).

Current usage metrics show cumulative count of Article Views (full-text article views including HTML views, PDF and ePub downloads, according to the available data) and Abstracts Views on Vision4Press platform.

Data correspond to usage on the plateform after 2015. The current usage metrics is available 48-96 hours after online publication and is updated daily on week days.

Initial download of the metrics may take a while.