Free Access

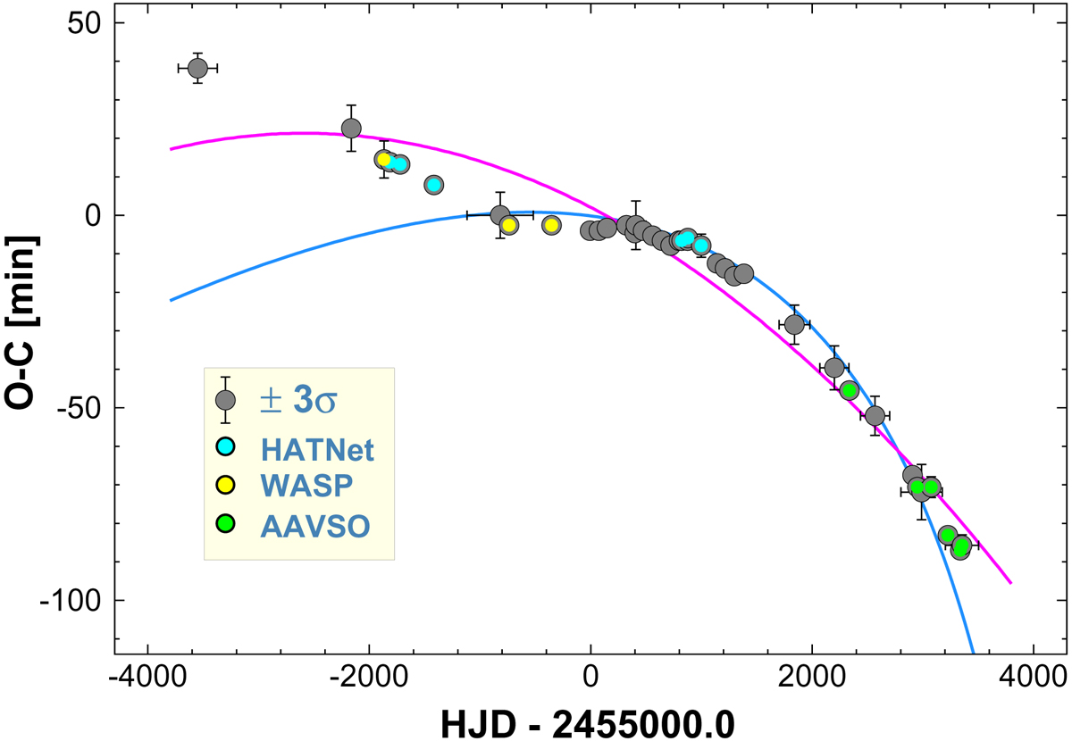
Fig. 4.

image

Observed minus calculated moments of the primary minima for KIC 9832227 obtained via the template fit method yielding the OC4 values (see Sect. 2). The reference period and epoch of the primary eclipse are from Socia et al. (2018): P = 0.4579515 d, EPOCH = 2 454 953.949183 BJD. The light blue line shows the exponential model of Molnar et al. (2017) reaching singularity in 2022.2 (at HJD−2 455 000.0 = 4651). Shown is the best-fit parabola, assuming only a linear period decrease (magenta line). Data associated with certain surveys are highlighted; see Table 1 for the full dataset.

Current usage metrics show cumulative count of Article Views (full-text article views including HTML views, PDF and ePub downloads, according to the available data) and Abstracts Views on Vision4Press platform.

Data correspond to usage on the plateform after 2015. The current usage metrics is available 48-96 hours after online publication and is updated daily on week days.

Initial download of the metrics may take a while.