Open Access

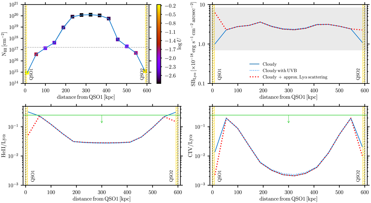
Fig. 12.

image

Cloudy prediction for plane parallel slabs with total log(NH/cm−2) = 20.5 and nH = 0.5 cm−3, illuminated by the quasar pair QSO1 and QSO2, placed at an intermediate separation of 600 kpc. Top left: column density of H I, NH I, as a function of distance, color-coded by ionization parameter. In this scenario, a central region of about 300 kpc is optically thick to the ionizing radiation, NH I ≫ 1017.2 cm−2, while the CGM regions of the two quasars are optically thin. Top right: predicted SBLyα for the Cloudy models without (solid blue line) and with (dotted blue line) the UVB. The red dotted line indicates the total SBLyα, summing up the Cloudy prediction and the scattering contribution estimated following Sect. 5.2.2. The predicted SBLyα is basically flat at a value of SBLyα = 2.5 × 10−18 erg s−1 cm−2 arcsec−2, well within the observed range (gray shaded region). Bottom left: predicted He II/Lyα ratio as function of the distance from the quasars without (solid blue line) and with (dotted blue line) the UVB. Bottom right: predicted C IV/Lyα ratio as function of the distance from the quasars without (solid blue line) and with (dotted blue line) the UVB. In each of the bottom panels, the dotted red lines represent the ratios corrected for the presence of Lyα scattering as modeled in Sect. 5.2.2, while the green horizontal line indicates the local 2σ upper limit on each ratio (Fig. 10). The vertical dotted lines in all four panels indicate the position of the two quasars, while the striped yellow regions give the zones used to normalize the quasars PSFs.

Current usage metrics show cumulative count of Article Views (full-text article views including HTML views, PDF and ePub downloads, according to the available data) and Abstracts Views on Vision4Press platform.

Data correspond to usage on the plateform after 2015. The current usage metrics is available 48-96 hours after online publication and is updated daily on week days.

Initial download of the metrics may take a while.