Free Access

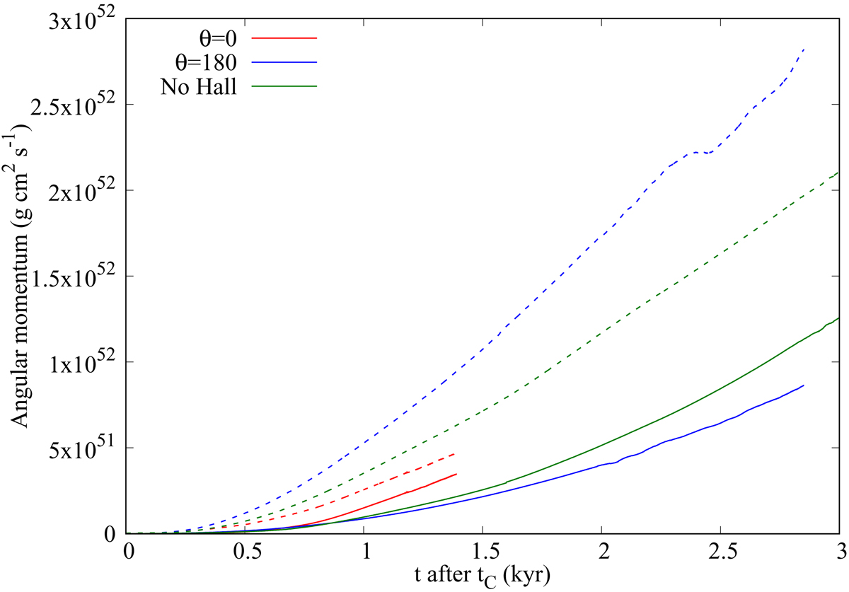
Fig. 5.

image

Angular momentum evolution after the first core formation for Th0 (red curves), Th180 (blue curves) and Nohall (green curves). The solid lines represent the “excess” of angular momentum in the whole box compared to t = tC.

Current usage metrics show cumulative count of Article Views (full-text article views including HTML views, PDF and ePub downloads, according to the available data) and Abstracts Views on Vision4Press platform.

Data correspond to usage on the plateform after 2015. The current usage metrics is available 48-96 hours after online publication and is updated daily on week days.

Initial download of the metrics may take a while.