Free Access

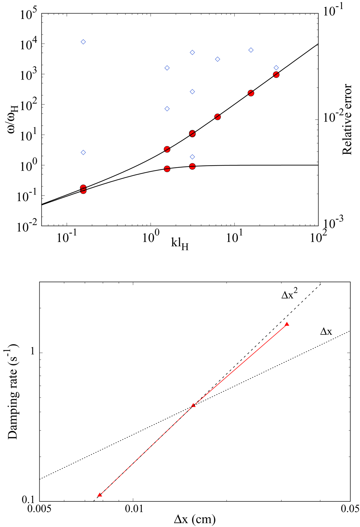
Fig. A.1.

image

Top panel: dispersion relation of the numerical scheme. Red points are the measured oscillation frequencies normalised by as a function of klH with lH = ηH/cA. Solid black lines represent the theoretical dispersion relation, while blue points show the relative error of each measure. Bottom panel: damping rate of whistler waves as a function of resolution, compared with Δx and Δx2 scaling.

Current usage metrics show cumulative count of Article Views (full-text article views including HTML views, PDF and ePub downloads, according to the available data) and Abstracts Views on Vision4Press platform.

Data correspond to usage on the plateform after 2015. The current usage metrics is available 48-96 hours after online publication and is updated daily on week days.

Initial download of the metrics may take a while.