Free Access

Fig. B.3.

image

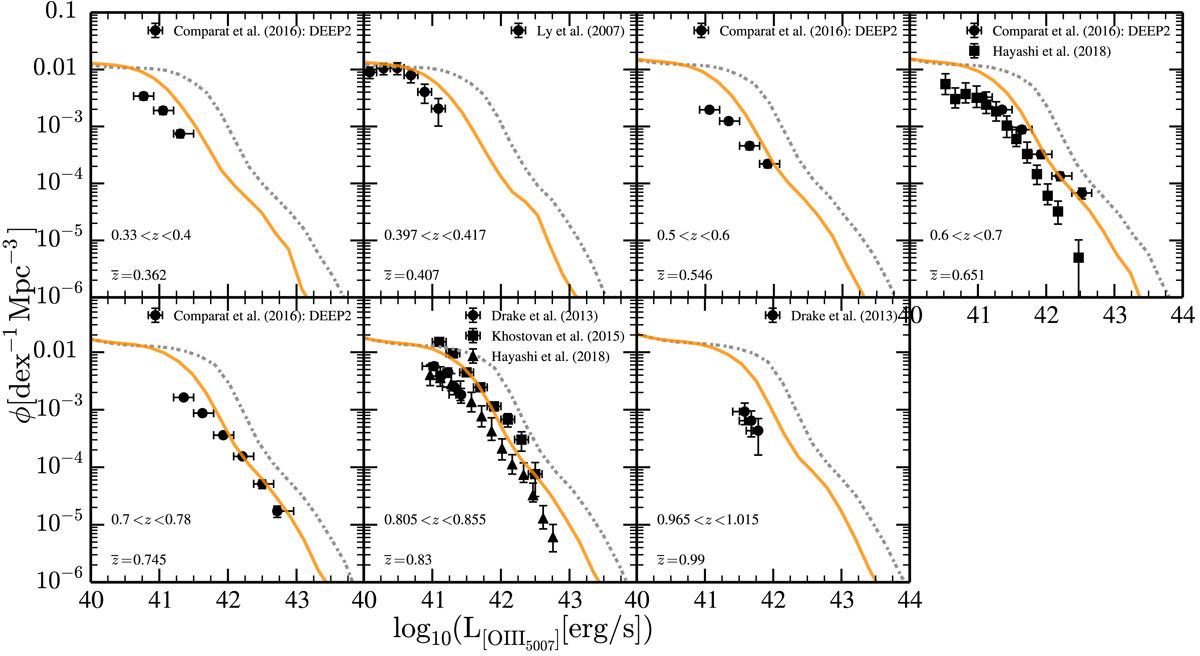
Luminosity function of [O III]5007 line at seven different redshifts. Shown are the comparisons with the recent observational work of Comparat et al. (2016), Ly et al. (2007), Drake et al. (2013), Khostovan et al. (2015), and Hayashi et al. (2018). The black dots represent the observational data, while the solid orange line and grey dashed line the predictions of our mocks LF with and without dust attenuation.

Current usage metrics show cumulative count of Article Views (full-text article views including HTML views, PDF and ePub downloads, according to the available data) and Abstracts Views on Vision4Press platform.

Data correspond to usage on the plateform after 2015. The current usage metrics is available 48-96 hours after online publication and is updated daily on week days.

Initial download of the metrics may take a while.