Free Access

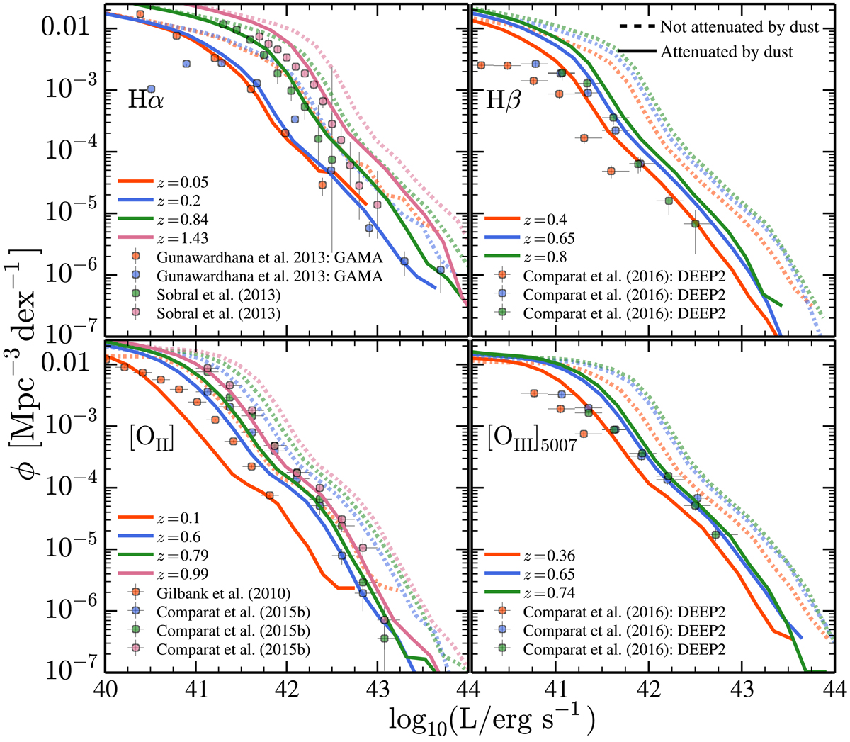
Fig. 4.

image

Luminosity function of emission lines. Each panel displays the results for a different emission line from top to bottom and from left to right: Hα, [O II], Hβ, and [O III]5007. Shown in each panel are the various observational estimates (cf. Sect. 3.2 and Appendix B) at different redshifts, colour-coded as shown in each legend. Dashed and solid lines display the results from our mock galaxy catalogue before and after applying an empirical model for dust attenuated, respectively. This dust model has been calibrated to improve the agreement between the observations and our predictions.

Current usage metrics show cumulative count of Article Views (full-text article views including HTML views, PDF and ePub downloads, according to the available data) and Abstracts Views on Vision4Press platform.

Data correspond to usage on the plateform after 2015. The current usage metrics is available 48-96 hours after online publication and is updated daily on week days.

Initial download of the metrics may take a while.