Free Access

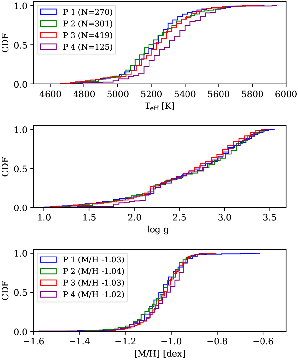
Fig. 3

image

Cumulative distributions in Teff, log g, and [M/H] of the stars included in the four populations of NGC 2808. The number of stars included in each population is indicated in the legend of the upper panel while the average [M/H] value for each population is indicated in the legend of the lower panel.

Current usage metrics show cumulative count of Article Views (full-text article views including HTML views, PDF and ePub downloads, according to the available data) and Abstracts Views on Vision4Press platform.

Data correspond to usage on the plateform after 2015. The current usage metrics is available 48-96 hours after online publication and is updated daily on week days.

Initial download of the metrics may take a while.