Free Access

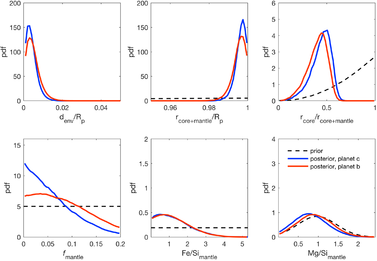
Fig. 5

image

One-dimensional marginalised posteriors of interior parameters: thickness of atmosphere (denv), size of rocky interior (rcore+mantle), core size (rcore), fudge factor fmantle, and mantle composition (Fe/Simantle and Mg/Simantle). The prior distribution is shown in dashed lines (except for denv, for which no explicit prior is defined), while the posterior distribution is shown in solid lines for planets b (red) and c (blue).

Current usage metrics show cumulative count of Article Views (full-text article views including HTML views, PDF and ePub downloads, according to the available data) and Abstracts Views on Vision4Press platform.

Data correspond to usage on the plateform after 2015. The current usage metrics is available 48-96 hours after online publication and is updated daily on week days.

Initial download of the metrics may take a while.