Open Access

Fig. 10

image

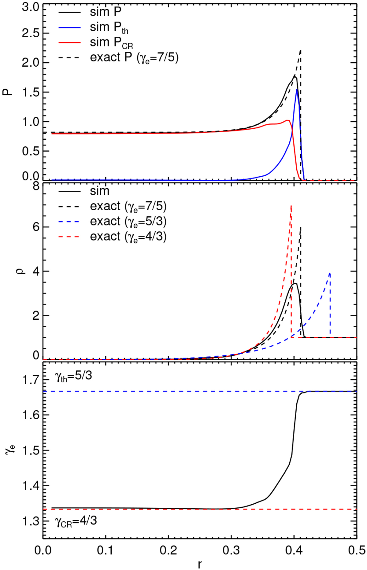
Spherically averaged radial profiles for the 3D Sedov explosion with CR acceleration with constant acceleration efficiency of η = 0.5 of the pressure (blue: thermal pressure, red: CR pressure), density, and effective adiabatic index of the thermal–CR mixture from top to bottom at time t = 0.1. Solid lines stand for the result of the numerical simulation, while the dashed lines of the pressure and density plots are the exact solution of the self-similar profile for an effective adiabatic index of 7∕5 in black (the exact density profile for γ = 5∕3 is also shown as a dashed blue line). The blue and red dashed lines in γe stand for the adiabatic index used for the thermal and CR component, respectively. The thermal–CR mixture produces an explosion similar to a Sedov solution with effective adiabatic index of γe = 7∕5, which delays the position of the shock due to the lower pressure work exerted by the shocked shell.

Current usage metrics show cumulative count of Article Views (full-text article views including HTML views, PDF and ePub downloads, according to the available data) and Abstracts Views on Vision4Press platform.

Data correspond to usage on the plateform after 2015. The current usage metrics is available 48-96 hours after online publication and is updated daily on week days.

Initial download of the metrics may take a while.