Open Access

Fig. 12

image

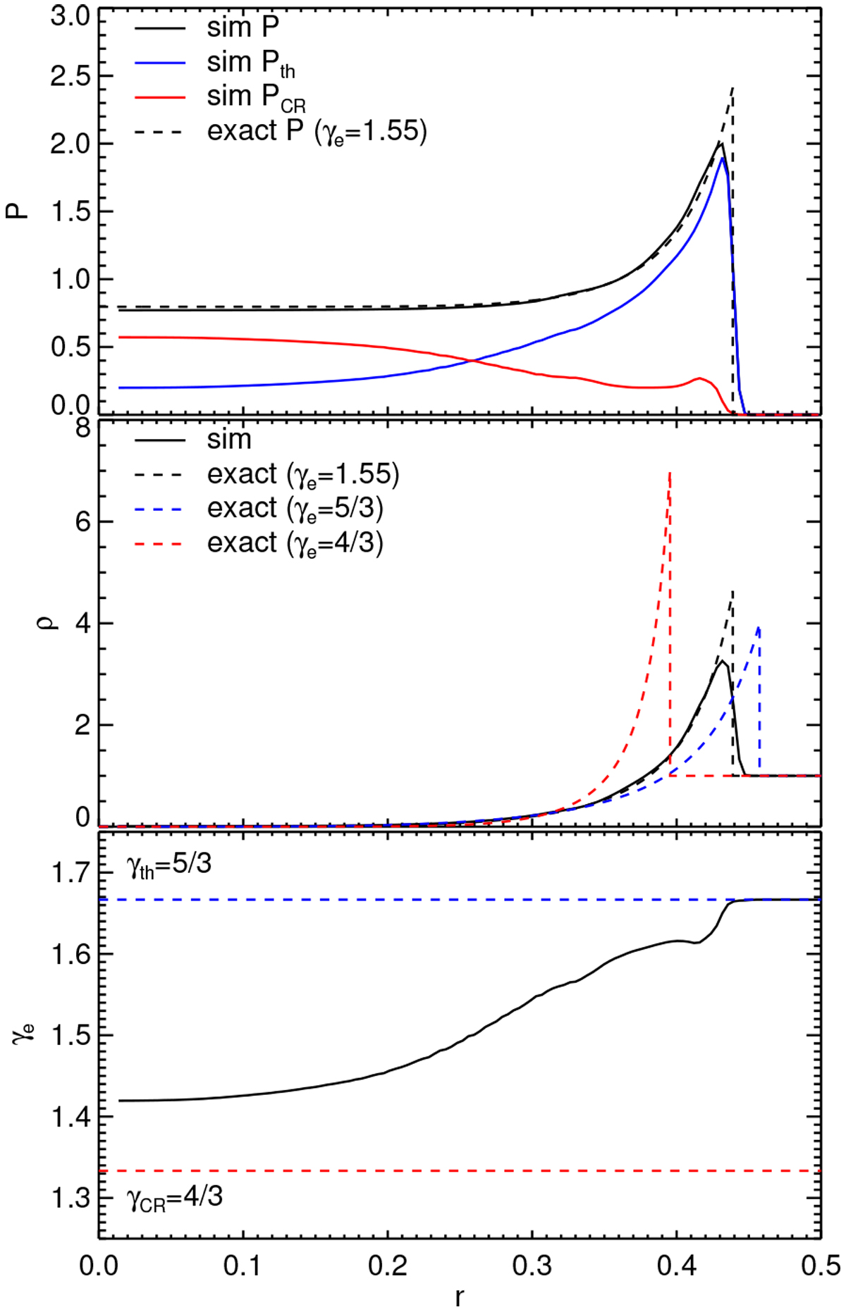
Similar to Fig. 10, but for the random magnetic field configuration and with obliquity dependency of the CR acceleration efficiency η = 0.5ζ(θB). Here the Sedov profile is better fitted with an effective adiabatic index of γe = 1.55.

Current usage metrics show cumulative count of Article Views (full-text article views including HTML views, PDF and ePub downloads, according to the available data) and Abstracts Views on Vision4Press platform.

Data correspond to usage on the plateform after 2015. The current usage metrics is available 48-96 hours after online publication and is updated daily on week days.

Initial download of the metrics may take a while.