Open Access

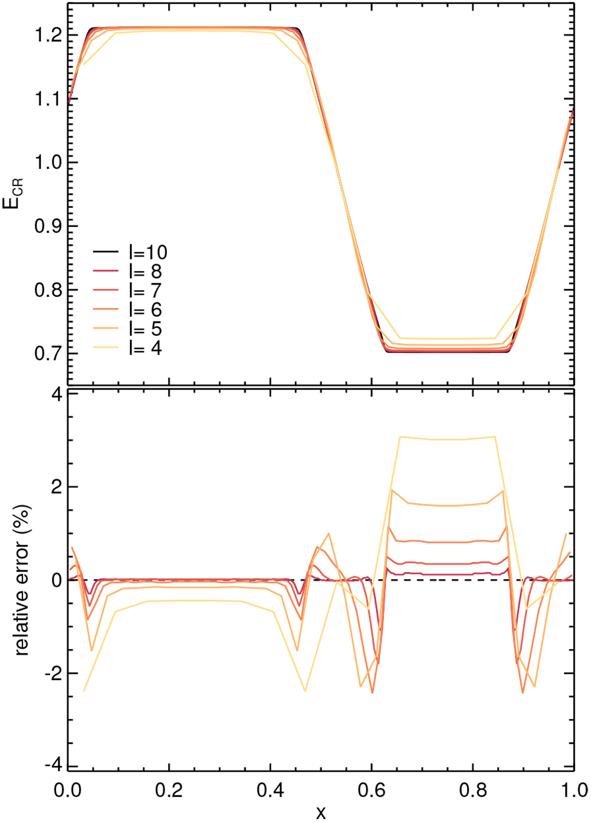
Fig. 2

image

Solution at t = 0.02 of the sinusoid experiment with different resolution from uniform level 4 to 8 (from light red to dark red) and level 10 (in black). The relative errors are compared to the reference numerical solution of level 10. Even for very low resolution the relative error is never larger than a few percentage points.

Current usage metrics show cumulative count of Article Views (full-text article views including HTML views, PDF and ePub downloads, according to the available data) and Abstracts Views on Vision4Press platform.

Data correspond to usage on the plateform after 2015. The current usage metrics is available 48-96 hours after online publication and is updated daily on week days.

Initial download of the metrics may take a while.