Open Access

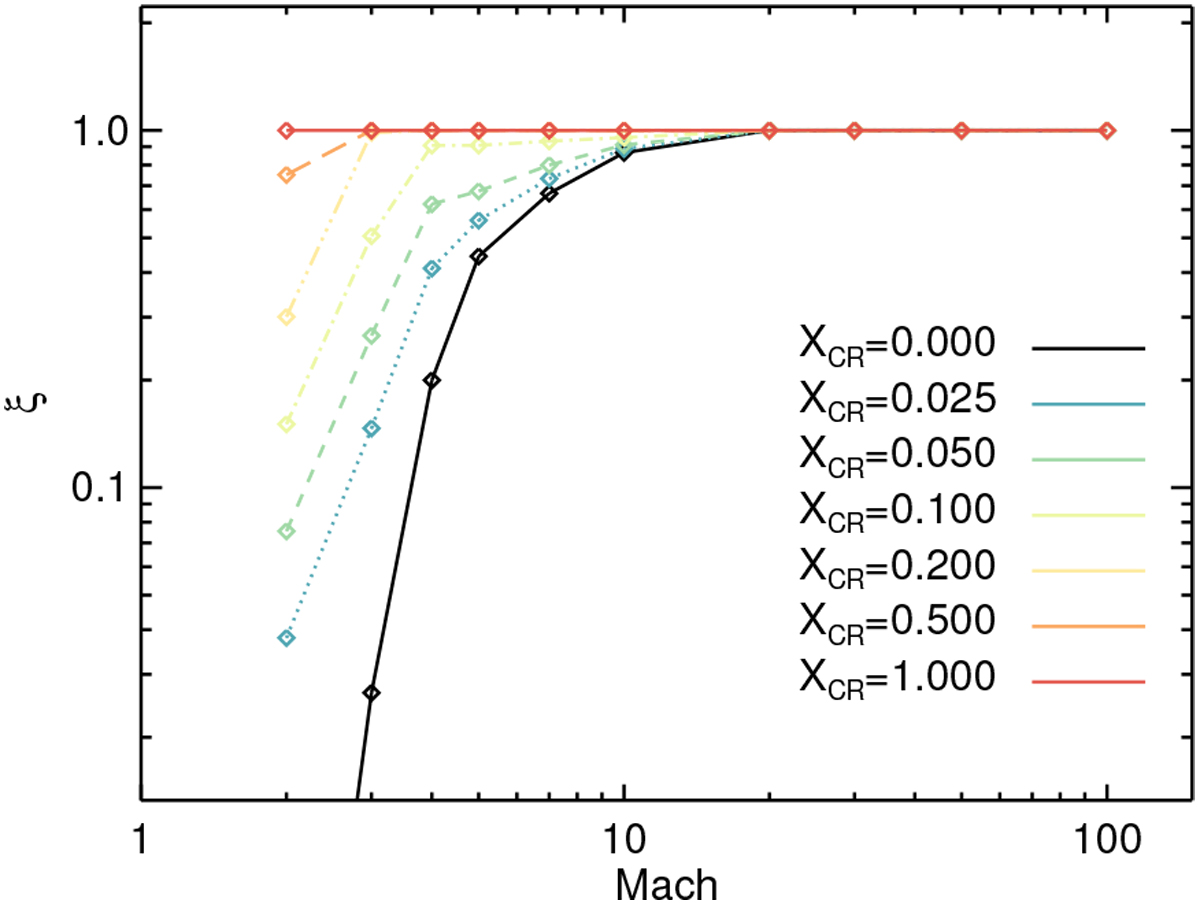
Fig. 5

image

Acceleration efficiency as a functionof the Mach number for different values of the upstream CR-to-thermal pressure ratio XCR. The values are obtained from the XCR = 0 and 0.025 values of Kang & Ryu (2013) and renormalised to a maximum value of 1.

Current usage metrics show cumulative count of Article Views (full-text article views including HTML views, PDF and ePub downloads, according to the available data) and Abstracts Views on Vision4Press platform.

Data correspond to usage on the plateform after 2015. The current usage metrics is available 48-96 hours after online publication and is updated daily on week days.

Initial download of the metrics may take a while.