Free Access

Fig. 4

image

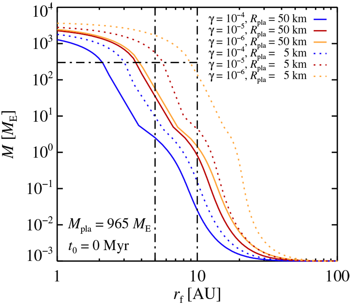
Finalplanetary mass as a function of the final planetary orbit for protoplanets starting to accrete at t = 0 in the massive planetesimal population model with two different planetesimal radii (50 and 5 km) and three values of the turbulent stirring coefficient (10−4, 10−5, and 10−6). The solid blue line (γ = 10−4/Rpla = 50 km) corresponds to a cut at t0 = 0 of the upper right panel of Fig. 2. The planetesimal inclinations are here set as the maximum of the inclinations given by turbulent stirring and by mutual planetesimal scattering. Planetesimals with a nominal radius of 50 km can only form Jupiter-mass planets interior of 3 AU, even when the turbulent stirring is very weak with γ = 10−5 or extremelyweak with γ = 10−6, because of inclination stirring by mutual planetesimal scattering. Lowering the planetesimal radius to 5 km allows the formation of Jupiter analogues when the turbulent stirring coefficient is γ = 10−5 or γ = 10−6.

Current usage metrics show cumulative count of Article Views (full-text article views including HTML views, PDF and ePub downloads, according to the available data) and Abstracts Views on Vision4Press platform.

Data correspond to usage on the plateform after 2015. The current usage metrics is available 48-96 hours after online publication and is updated daily on week days.

Initial download of the metrics may take a while.