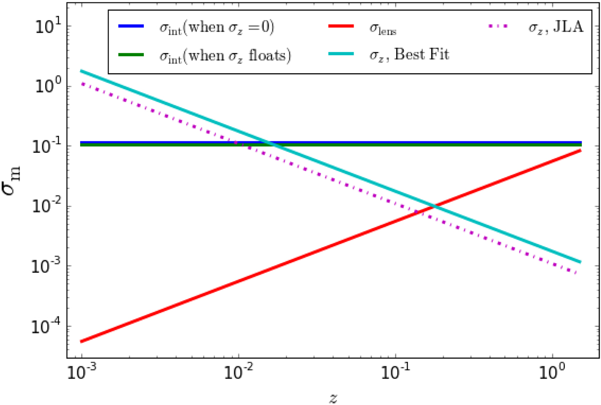
Fig. B.1.

image

Different sources of intrinsic dispersion in magnitude σm that enter cosmological fits of JLA data. On top of the global σint, SNe Ia are given a dispersion σlens proportional to redshift to account for lensing, while low redshift SNe Ia are selectively more dispersed by σz to account for peculiar velocity effects.

Current usage metrics show cumulative count of Article Views (full-text article views including HTML views, PDF and ePub downloads, according to the available data) and Abstracts Views on Vision4Press platform.

Data correspond to usage on the plateform after 2015. The current usage metrics is available 48-96 hours after online publication and is updated daily on week days.

Initial download of the metrics may take a while.