Free Access

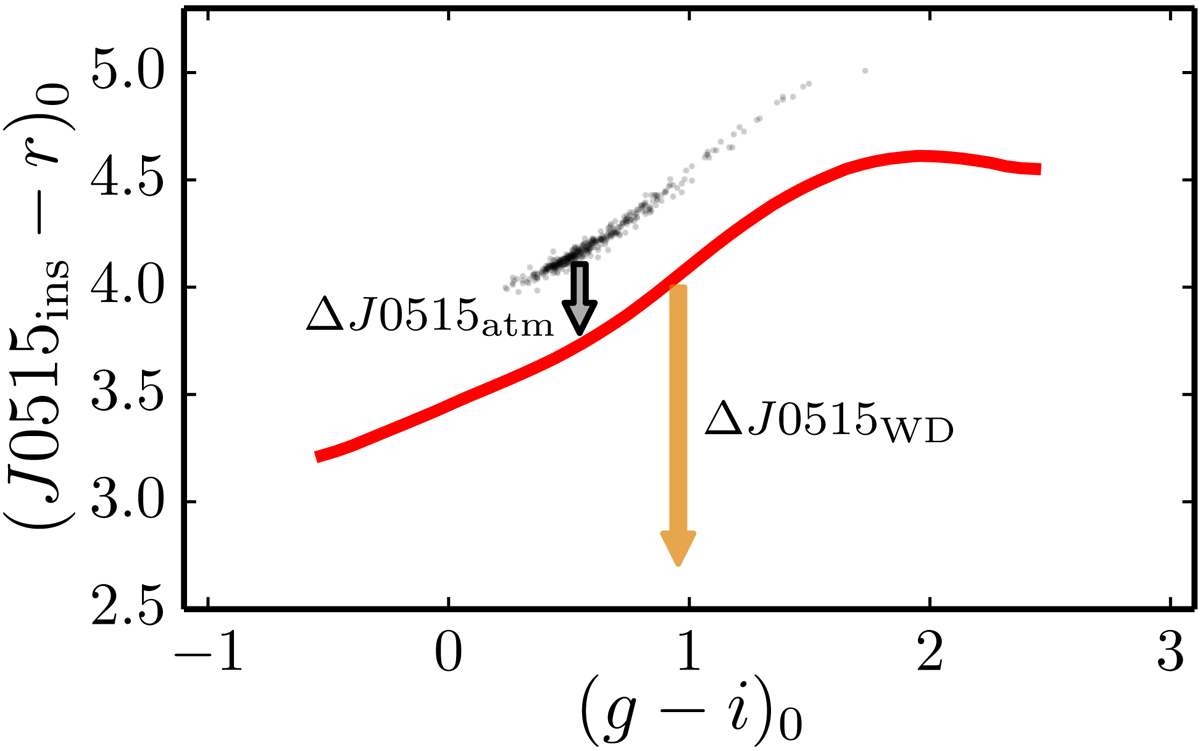
Fig. 15.

image

Illustration of the simplified calibration process for J-PLUS images beyond DR1. The J0515 passband and the DR1 pointing pid = 03508 are used as example. The offset Δ𝒳atm (grey arrow) is estimated with respect to the ISL computed with DR1 data (red solid line). The global offset Δ𝒳WD given in Table 3 is then applied to obtain the final zero point (coloured arrow).

Current usage metrics show cumulative count of Article Views (full-text article views including HTML views, PDF and ePub downloads, according to the available data) and Abstracts Views on Vision4Press platform.

Data correspond to usage on the plateform after 2015. The current usage metrics is available 48-96 hours after online publication and is updated daily on week days.

Initial download of the metrics may take a while.