Open Access

Fig. 11

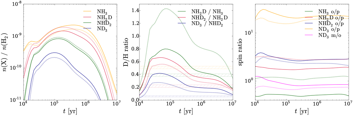
image

As Fig. 7, but showing the averaged abundances in H-MM1 in the FS model (solid lines) and in the PHalt model discussed in the text (dotted lines). The hatched boxes showing the observed ranges in the right panel are omitted here for better visibility of the model results.

Current usage metrics show cumulative count of Article Views (full-text article views including HTML views, PDF and ePub downloads, according to the available data) and Abstracts Views on Vision4Press platform.

Data correspond to usage on the plateform after 2015. The current usage metrics is available 48-96 hours after online publication and is updated daily on week days.

Initial download of the metrics may take a while.