Open Access

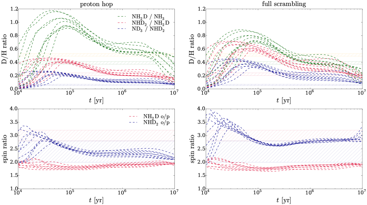
Fig. 8

image

Left: D/H and spin-state abundance ratios in the PH model, calculated using nine different physical core models as explainedin the text. Right: corresponding data from the FS model. Hatched boxes correspond to observed ranges as in Fig. 7.

Current usage metrics show cumulative count of Article Views (full-text article views including HTML views, PDF and ePub downloads, according to the available data) and Abstracts Views on Vision4Press platform.

Data correspond to usage on the plateform after 2015. The current usage metrics is available 48-96 hours after online publication and is updated daily on week days.

Initial download of the metrics may take a while.