Free Access

Fig. 11.

image

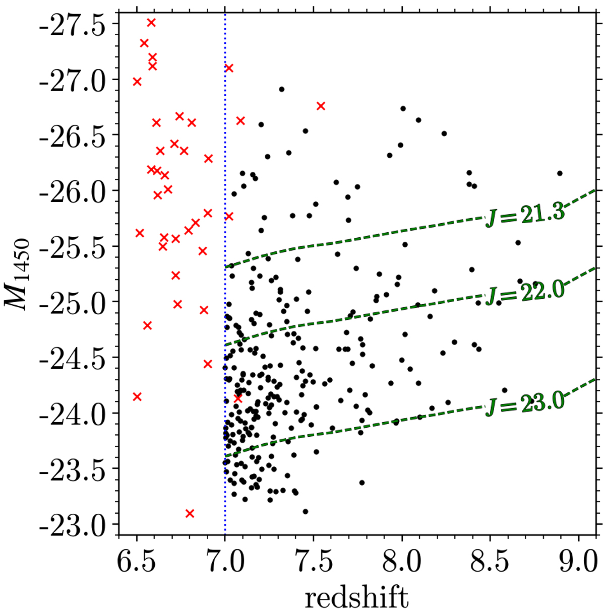
M1450/z plane with all z >  6.5 quasars with published redshifts and luminosities at 1450 Å (red crosses), and a simulated Euclid wide survey quasar sample (black points), with random luminosities and redshifts drawn from the ground-based selection function (Fig. 8b). The blue dotted line indicates the redshift cut-off of this work. The green dashed contours indicate the apparent magnitudes considered in Sect. 5.3, in the context of ground-based follow-up spectroscopy and contamination. Discovery papers for the known quasars are: Mortlock et al. (2011), Venemans et al. (2013, 2015), Matsuoka et al. (2016, 2018a,b, 2019), Mazzucchelli et al. (2017), Tang et al. (2017), Koptelova et al. (2017), Reed et al. (2017), Wang et al. (2017, 2018, 2019), Bañados et al. (2018), Yang et al. (2019).

Current usage metrics show cumulative count of Article Views (full-text article views including HTML views, PDF and ePub downloads, according to the available data) and Abstracts Views on Vision4Press platform.

Data correspond to usage on the plateform after 2015. The current usage metrics is available 48-96 hours after online publication and is updated daily on week days.

Initial download of the metrics may take a while.