Free Access

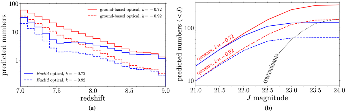
Fig. 9.

image

Predicted numbers of 7 <  z <  9 quasars as a function of (a) redshift and (b) J magnitude, determined by integrating the QLF over the selection functions presented in Fig. 8, and assuming an area of 15 000 deg2. Blue: Euclid data only. Red: Euclid O band replaced with ground-based optical data. Solid lines k = −0.72. Dashed lines k = −0.92. The additional black dotted curve on the right-hand panel indicates the estimated number of contaminants selected as quasar candidates as a function of magnitude, assuming ground-based optical data, and so should be compared to the red curves, labelled.

Current usage metrics show cumulative count of Article Views (full-text article views including HTML views, PDF and ePub downloads, according to the available data) and Abstracts Views on Vision4Press platform.

Data correspond to usage on the plateform after 2015. The current usage metrics is available 48-96 hours after online publication and is updated daily on week days.

Initial download of the metrics may take a while.