Open Access

Fig. 3.

image

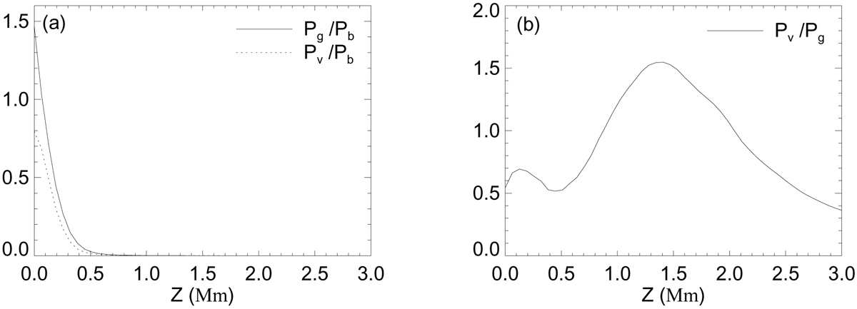
Panel a: horizontal averages for reference model in sub-volume outlined in Fig. 1a. The inertial term and plasma pressure are plotted relative to the horizontally averaged magnetic pressure . Panel b: inertial term is plotted relative to the horizontally averaged plasma pressure .

Current usage metrics show cumulative count of Article Views (full-text article views including HTML views, PDF and ePub downloads, according to the available data) and Abstracts Views on Vision4Press platform.

Data correspond to usage on the plateform after 2015. The current usage metrics is available 48-96 hours after online publication and is updated daily on week days.

Initial download of the metrics may take a while.