Open Access

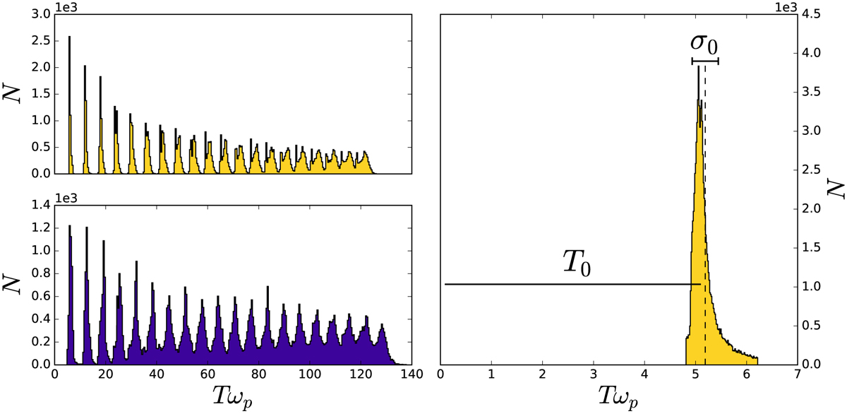
Fig. 16.

image

Left panels: number of n-chord trajectories, with n = 1, …, 20, vs their travel time T at rotations Ω/Ωk = 0.481 (top) and Ω/Ωk = 0.809 (bottom), with 300 bins for the total distribution. The n-chord samples contain ∼4200 chords each. Right panel: Ω/Ωk = 0.481 1-chord distribution in more details, with ∼84 000 chords and 100 bins. The mean value T0 of the distribution is marked with a dashed line and the standard deviation σ0 is shown.

Current usage metrics show cumulative count of Article Views (full-text article views including HTML views, PDF and ePub downloads, according to the available data) and Abstracts Views on Vision4Press platform.

Data correspond to usage on the plateform after 2015. The current usage metrics is available 48-96 hours after online publication and is updated daily on week days.

Initial download of the metrics may take a while.