Free Access

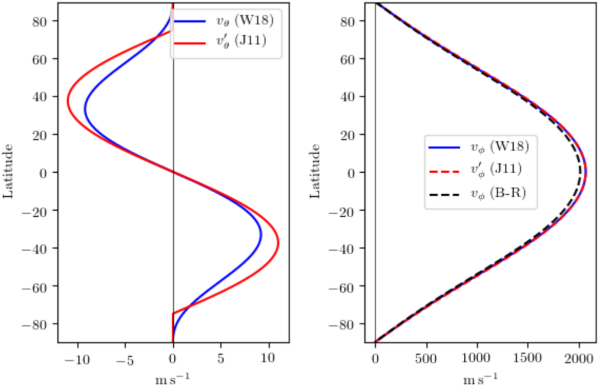
Fig. 1.

image

Velocity profiles as a function of latitude for meridional velocity vθ (left), and differential rotation vϕ (right), in W18 and J11. The black dashed curve for vϕ shows the profile used by Berger & Ruzmaikin (2000) and also by Hawkes & Berger (2018).

Current usage metrics show cumulative count of Article Views (full-text article views including HTML views, PDF and ePub downloads, according to the available data) and Abstracts Views on Vision4Press platform.

Data correspond to usage on the plateform after 2015. The current usage metrics is available 48-96 hours after online publication and is updated daily on week days.

Initial download of the metrics may take a while.