Open Access

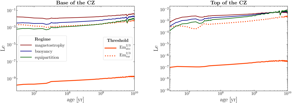
Fig. 7.

image

Lehnert number at the base (left panel) and top (right panel) of the CZ versus the age of a 1 M star. Slow initial rotation has been used in both panels. The thresholds for which magnetic field impacts the propagation of inertial waves is estimated with different Ekman numbers and drawn in orange (see the legend).

Current usage metrics show cumulative count of Article Views (full-text article views including HTML views, PDF and ePub downloads, according to the available data) and Abstracts Views on Vision4Press platform.

Data correspond to usage on the plateform after 2015. The current usage metrics is available 48-96 hours after online publication and is updated daily on week days.

Initial download of the metrics may take a while.