Free Access

Fig. 2.

image

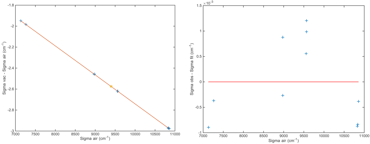
Correction to air wave numbers. Left: difference between air and vacuum wave numbers, and a linear fit to the existing values. Right: difference between the reported wave numbers by Jakobsson (1967) and the values from the linear fit. The difference is about 0.001 cm−1, which is less than the stated uncertainty in the study by Jakobsson (1967).

Current usage metrics show cumulative count of Article Views (full-text article views including HTML views, PDF and ePub downloads, according to the available data) and Abstracts Views on Vision4Press platform.

Data correspond to usage on the plateform after 2015. The current usage metrics is available 48-96 hours after online publication and is updated daily on week days.

Initial download of the metrics may take a while.