Free Access

This article has an erratum: [https://doi.org/10.1051/0004-6361/201936617e]


Fig. B.2.

image

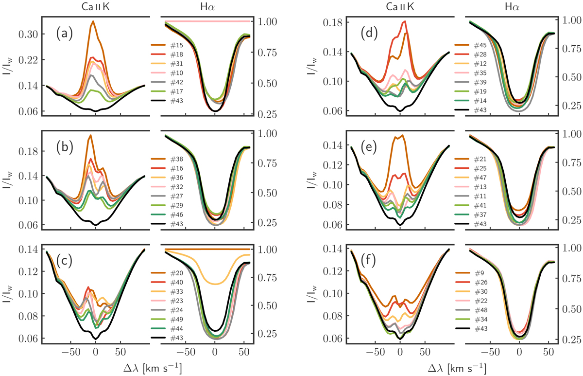
Representative profiles obtained by the k-means classification of the Hα and Ca II K line profiles. Forty-one RPs (9−49) are presented in six groups in (panels a–f). The average quiet-Sun profile represented by RP−43 is shown in all the panels for comparison purposes. Representative profiles 0−3 (RBE profiles) and 4−8 (RRE profiles) are plotted in Figs. 2 and 3, respectively. Here, Iw represents normalizing factor for the intensity, I.

Current usage metrics show cumulative count of Article Views (full-text article views including HTML views, PDF and ePub downloads, according to the available data) and Abstracts Views on Vision4Press platform.

Data correspond to usage on the plateform after 2015. The current usage metrics is available 48-96 hours after online publication and is updated daily on week days.

Initial download of the metrics may take a while.