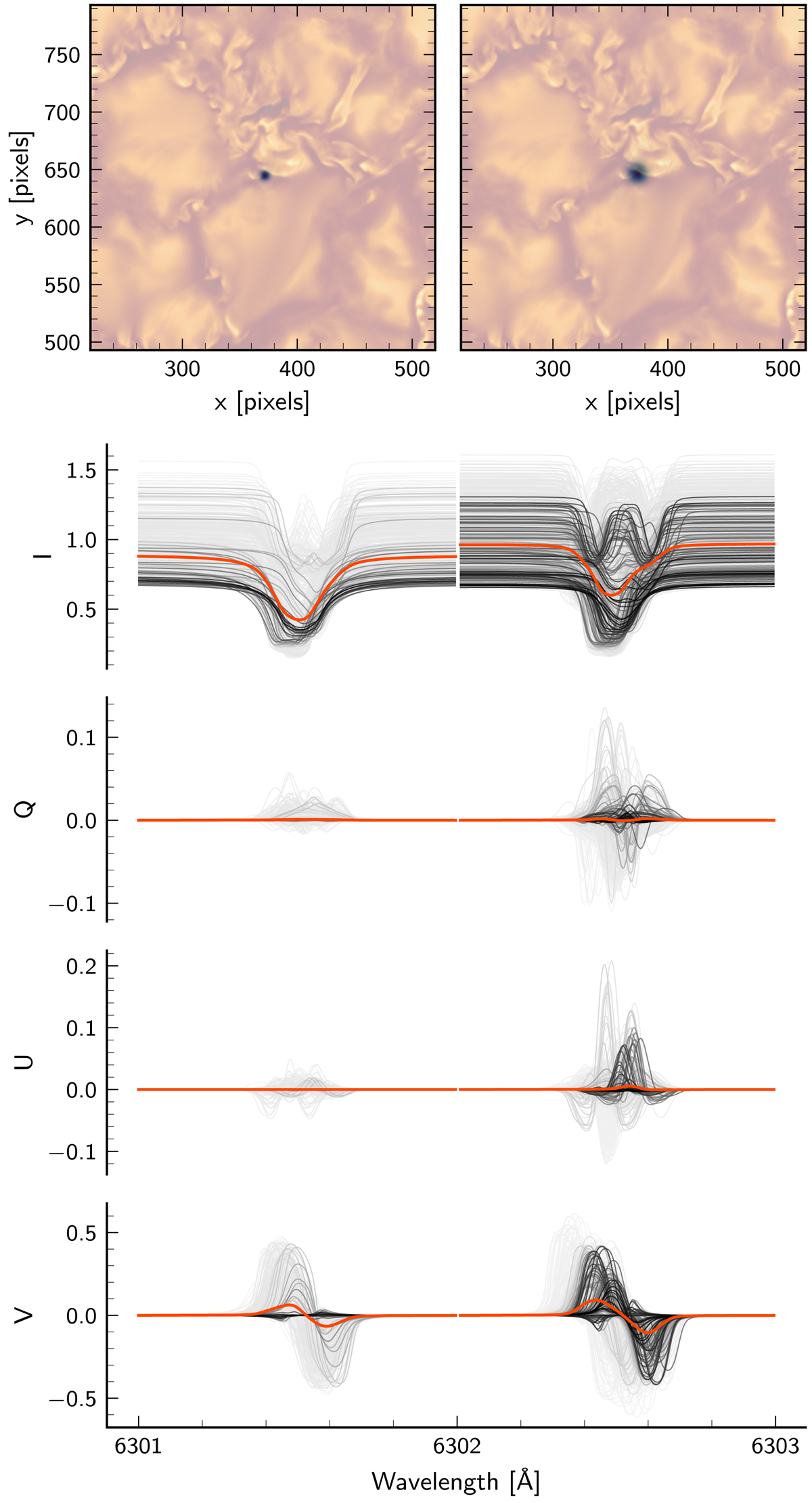
Fig. 10.

Illustration of spatial degradation acting on full-Stokes synthetic spectra. We have degraded the spectra computed from the rMHD simulation using two different telescope apertures. Top: illustration of the extent of the total degradation operator (PSF + rebinning) shown as a dark shade centered in a crop of the FOV for the 6301 line (left) and the 6302 line (right). The intensity panels show the resulting degraded spectra in red and the contribution from all profiles contained within the degradation operator. The color scaling of each profile corresponds to the weight of the operator in each pixel.
Current usage metrics show cumulative count of Article Views (full-text article views including HTML views, PDF and ePub downloads, according to the available data) and Abstracts Views on Vision4Press platform.
Data correspond to usage on the plateform after 2015. The current usage metrics is available 48-96 hours after online publication and is updated daily on week days.
Initial download of the metrics may take a while.