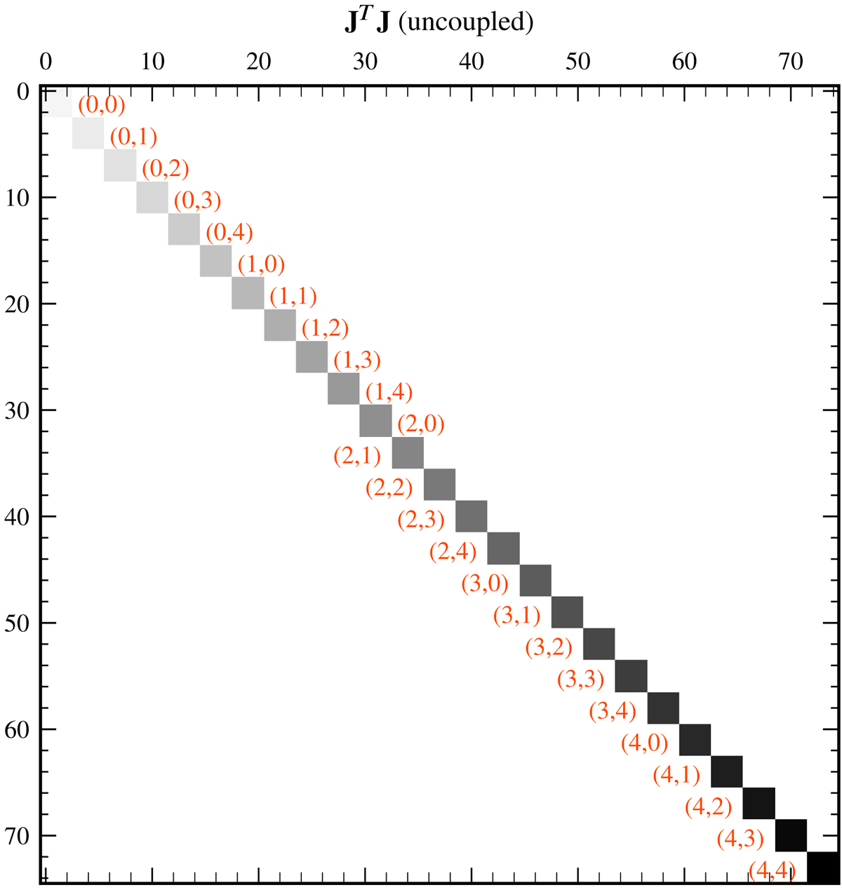
Fig. 2.

Structure of a global Hessian matrix without spatial constraints for nx = ny = 5 and npar = 3. The color coding indicates the subspace containing parameters from the same pixel. The coordinates (y, x) of the pixel associated with each subspace are indicated next to each subspace. Each block has the dimension of the number of parameter per pixel, in this example 3 × 3.
Current usage metrics show cumulative count of Article Views (full-text article views including HTML views, PDF and ePub downloads, according to the available data) and Abstracts Views on Vision4Press platform.
Data correspond to usage on the plateform after 2015. The current usage metrics is available 48-96 hours after online publication and is updated daily on week days.
Initial download of the metrics may take a while.