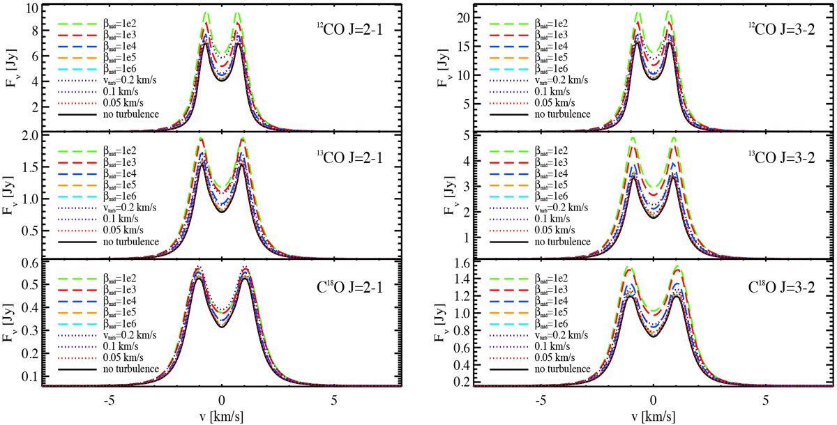
Fig. 11

Line profiles of CO and isotopologues from the typical disk with different values of βmid (dashed lines), from the disk model without turbulence (continuous black lines), and from the model with a constant turbulent width of 0.05, 0.1, and 0.2 km s−1 (dotted lines). The disk is seen with an inclination of 45° (0° means that the disk is seen face-on).
Current usage metrics show cumulative count of Article Views (full-text article views including HTML views, PDF and ePub downloads, according to the available data) and Abstracts Views on Vision4Press platform.
Data correspond to usage on the plateform after 2015. The current usage metrics is available 48-96 hours after online publication and is updated daily on week days.
Initial download of the metrics may take a while.