Open Access
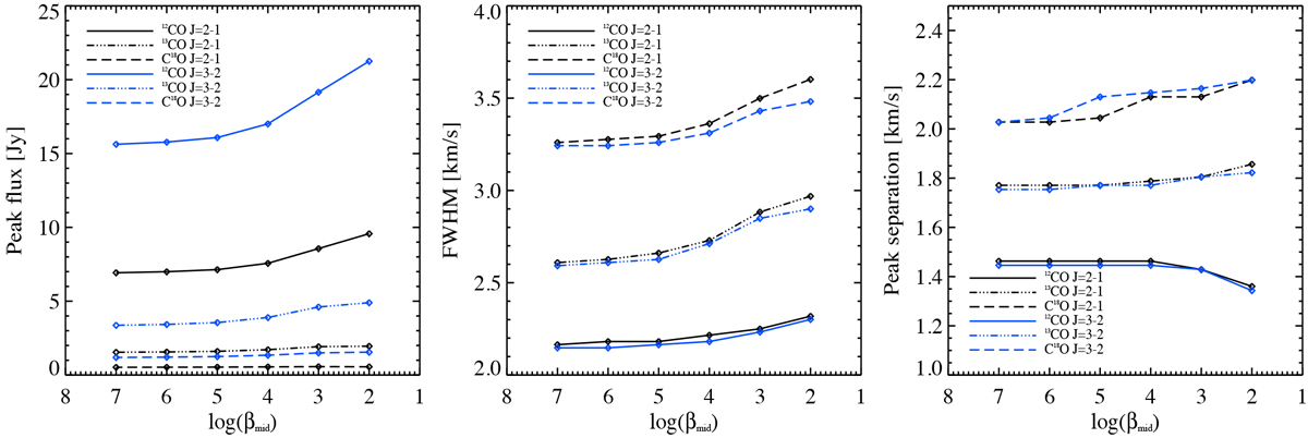
Fig. 12

CO line profile statistics as a function of the value of βmid. Left panel: peak fluxes in Jy. Middle panel: FWHM in km s−1. Right panel: double-peaked profile peak separation in km s−1. The value for βmid = 107 corresponds to a model with no MRI turbulence in the entire disk.
Current usage metrics show cumulative count of Article Views (full-text article views including HTML views, PDF and ePub downloads, according to the available data) and Abstracts Views on Vision4Press platform.
Data correspond to usage on the plateform after 2015. The current usage metrics is available 48-96 hours after online publication and is updated daily on week days.
Initial download of the metrics may take a while.