Free Access

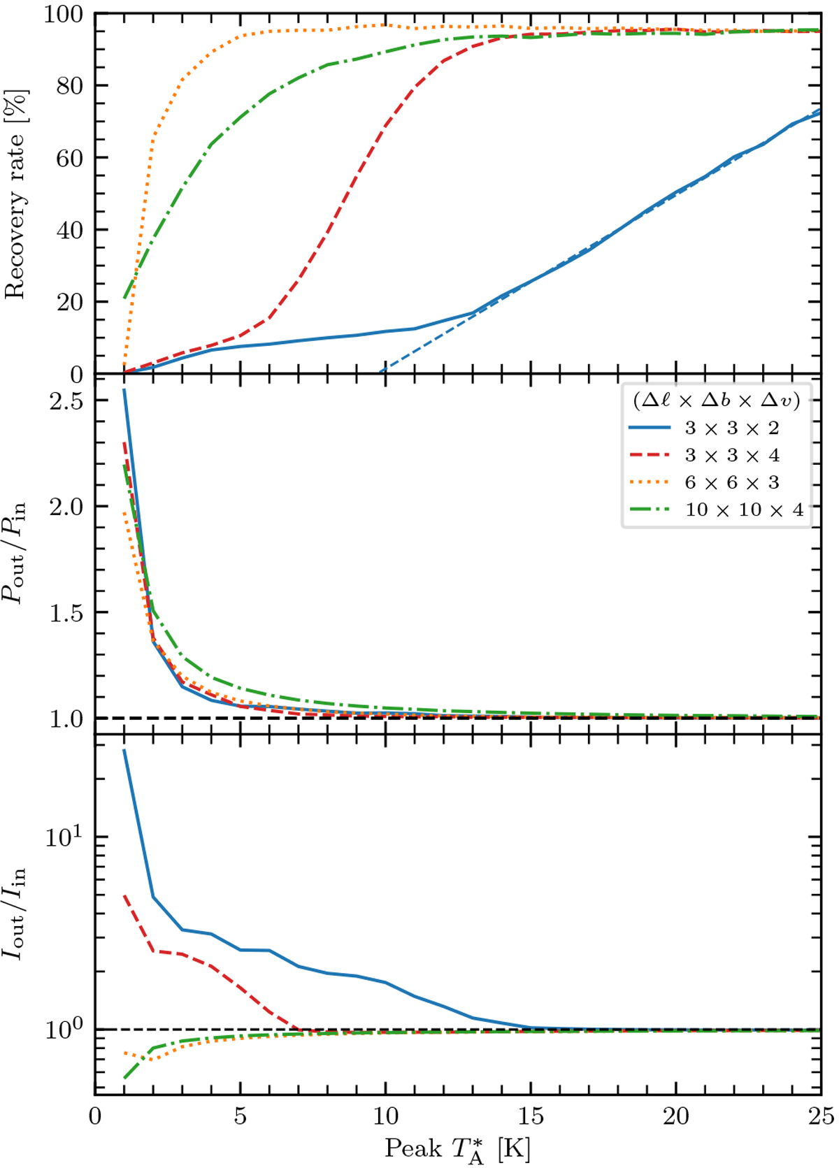
Fig. B.1

image

Results of the completeness tests, comparing the recovered quantities for 10 000 randomly injected three-dimensional-Gaussian sources with sizes typical of the CHIMPS 13CO (3–2) sources as a function of the injected peak values. The panels are: fraction of sources recovered (top panel); the median ratio of the recovered to injected peak brightness temperature (middle panel); and the median ratio of the recovered-to-input integrated intensity (bottom panel).

Current usage metrics show cumulative count of Article Views (full-text article views including HTML views, PDF and ePub downloads, according to the available data) and Abstracts Views on Vision4Press platform.

Data correspond to usage on the plateform after 2015. The current usage metrics is available 48-96 hours after online publication and is updated daily on week days.

Initial download of the metrics may take a while.