Open Access
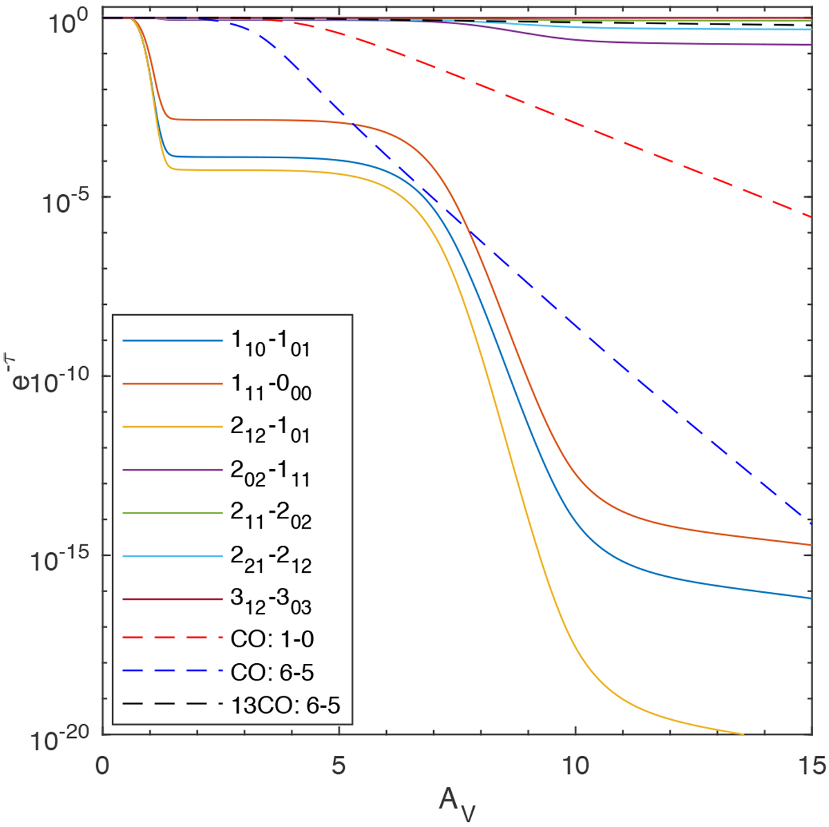
Fig. 8

Evolution of the line center opacity of and CO lines as a function of the visual extinction inside the molecular cloud for the adsorption and desorption optimized model with H2 internal energy (Table 3).
Current usage metrics show cumulative count of Article Views (full-text article views including HTML views, PDF and ePub downloads, according to the available data) and Abstracts Views on Vision4Press platform.
Data correspond to usage on the plateform after 2015. The current usage metrics is available 48-96 hours after online publication and is updated daily on week days.
Initial download of the metrics may take a while.