Open Access
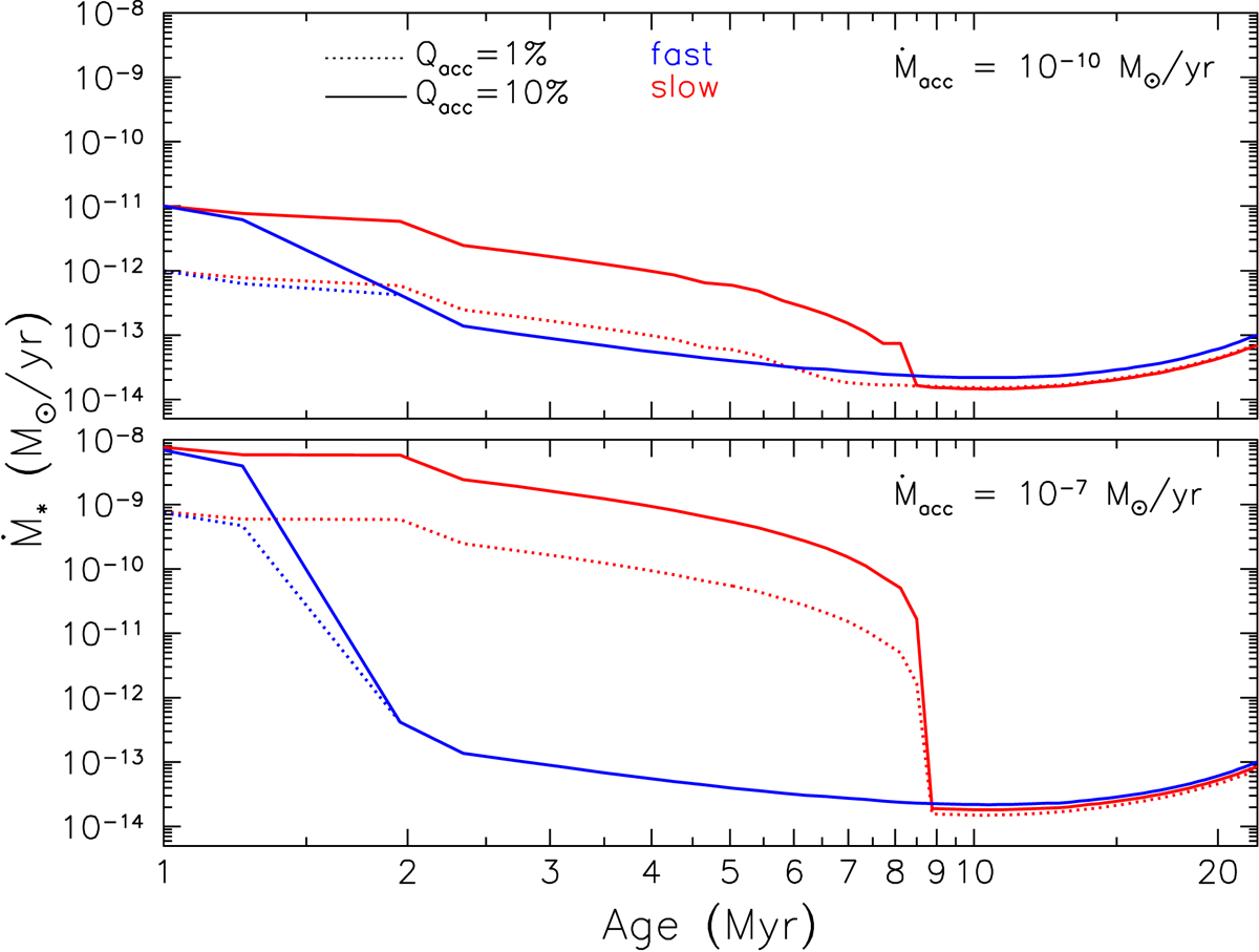
Fig. 2.

Evolution of Ṁ⋆ as function of time in case of fast (blue) and slow (red) initially rotating stars. For each rotators, two initial mass accretion rates are investigated Ṁacc = 10−10 (upper panel) and 10−7 (lower panel) M⊙ yr−1 with Qacc = 1 (dotted) and 10% (solid).
Current usage metrics show cumulative count of Article Views (full-text article views including HTML views, PDF and ePub downloads, according to the available data) and Abstracts Views on Vision4Press platform.
Data correspond to usage on the plateform after 2015. The current usage metrics is available 48-96 hours after online publication and is updated daily on week days.
Initial download of the metrics may take a while.