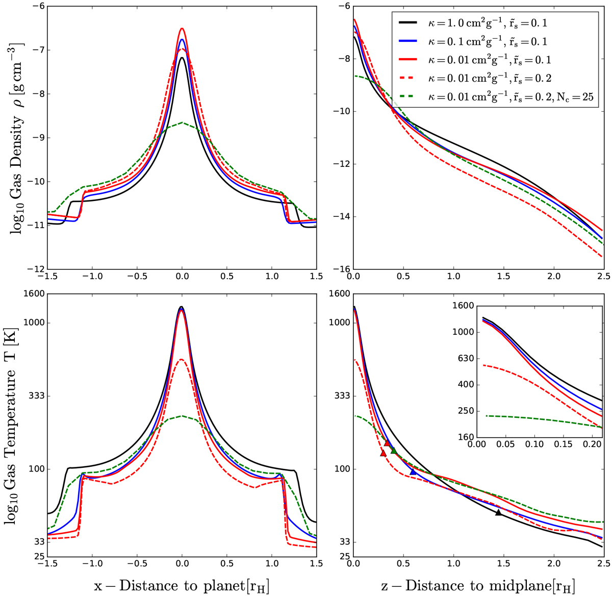
Fig. 11

Density and temperature structures for constant opacity runs in radial and vertical slices after ten orbits: data are shown for runs with
and the nominal run with
and Nc= 100 for comparison. A deeper potential raises the whole envelope temperature as long as no convective region is formed. Optically thick regions are hotter for higher opacity (see inset), while the optically thin regions approach isothermal structure and their temperature trend reverses according to the position of the
τ = 1 surface (indicated with triangles). The density structure follows simple expectations: a hotter envelope has lower density in optically thick regions.
Current usage metrics show cumulative count of Article Views (full-text article views including HTML views, PDF and ePub downloads, according to the available data) and Abstracts Views on Vision4Press platform.
Data correspond to usage on the plateform after 2015. The current usage metrics is available 48-96 hours after online publication and is updated daily on week days.
Initial download of the metrics may take a while.