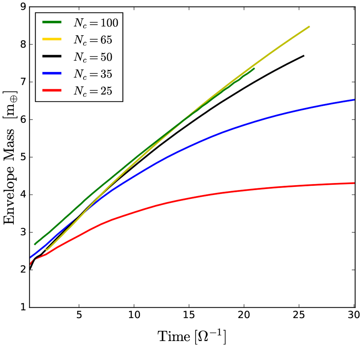
Fig. 5

Total envelope mass within the Hill-radius as a function of time, immediately after the potential ramp-up time of two orbits, plotted against the numerical resolution of the envelope. We show the runs with cells per Hill-radius
Nc ∈ {25, 35, 50, 65, 100} and smoothing length
for a constant opacity of κ = 0.01cm2 g−1. Under-resolving the Hill-radius leads to a gradual decrease in the measured accretion rate, which results in the envelope as a whole achieving a dynamic steady state. Increasing the resolution step by step we find numerical convergence of accretion rates and a less pronounced drop in accretion rates over time. We note that our highest resolution (Nc = 100) drops slightly in accretion rate compared to the case with Nc = 65.
Current usage metrics show cumulative count of Article Views (full-text article views including HTML views, PDF and ePub downloads, according to the available data) and Abstracts Views on Vision4Press platform.
Data correspond to usage on the plateform after 2015. The current usage metrics is available 48-96 hours after online publication and is updated daily on week days.
Initial download of the metrics may take a while.