Free Access
Fig. 7

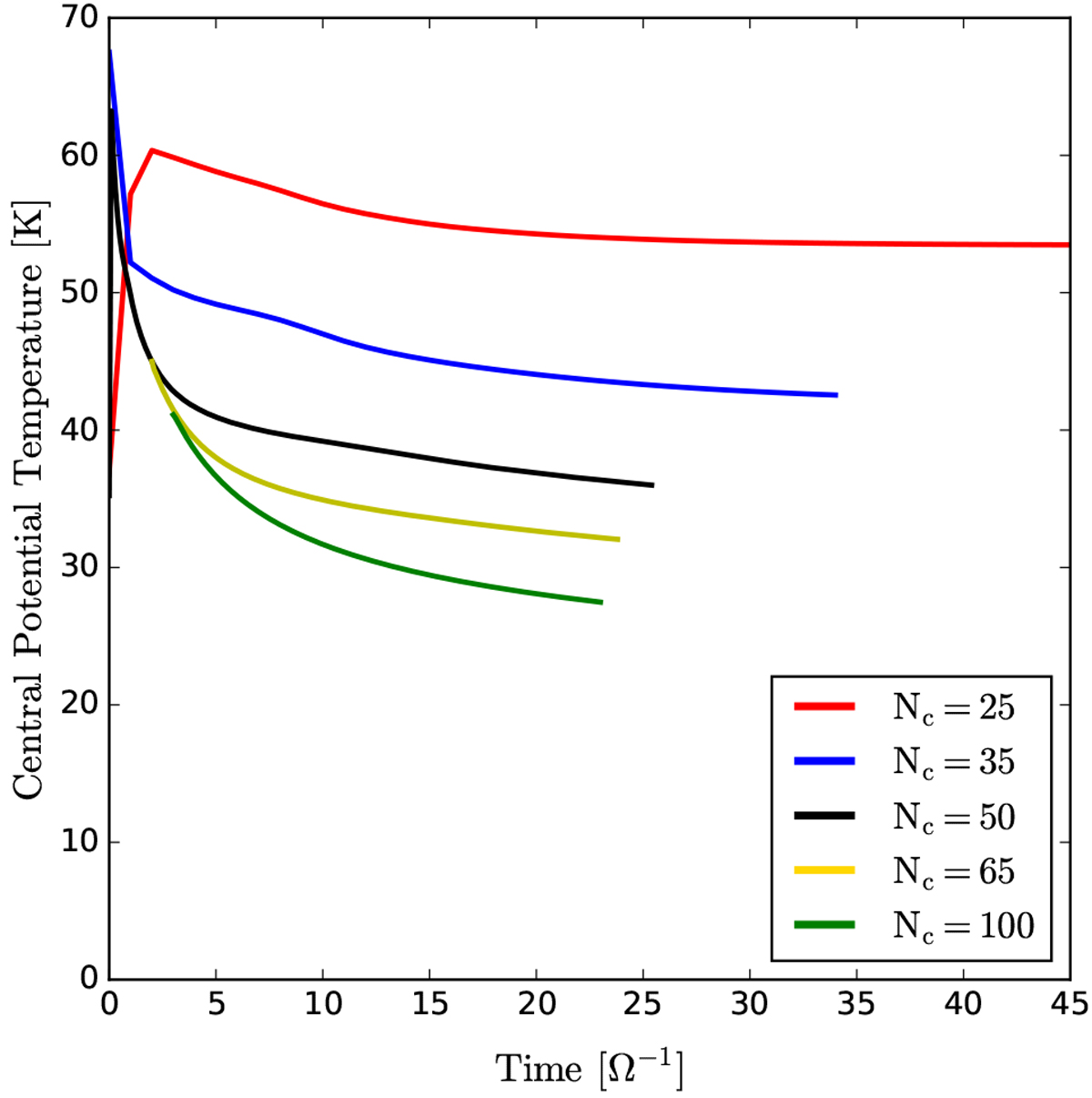
Central potential temperature for the same simulation parameters as in Figs. 5 and 6,
κ = 0.01 cm2 g−1,
. The steady decrease in potential temperature confirms that the accretion is final and irreversible. Just to be sure, we checked andconfirmed that the entropy in the rest of the envelope decreases as well.
Current usage metrics show cumulative count of Article Views (full-text article views including HTML views, PDF and ePub downloads, according to the available data) and Abstracts Views on Vision4Press platform.
Data correspond to usage on the plateform after 2015. The current usage metrics is available 48-96 hours after online publication and is updated daily on week days.
Initial download of the metrics may take a while.