Open Access
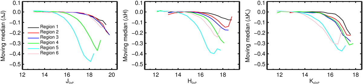
Fig. 17.

Moving medians of the photometric magnitude difference of ΔJ (left panel), ΔH (middle panel), and ΔKs (right panel) between DaoPHOT and DoPHOT catalogs in six ∼10′ × 10′ test fields. The different regions are shown with different color curves.
Current usage metrics show cumulative count of Article Views (full-text article views including HTML views, PDF and ePub downloads, according to the available data) and Abstracts Views on Vision4Press platform.
Data correspond to usage on the plateform after 2015. The current usage metrics is available 48-96 hours after online publication and is updated daily on week days.
Initial download of the metrics may take a while.