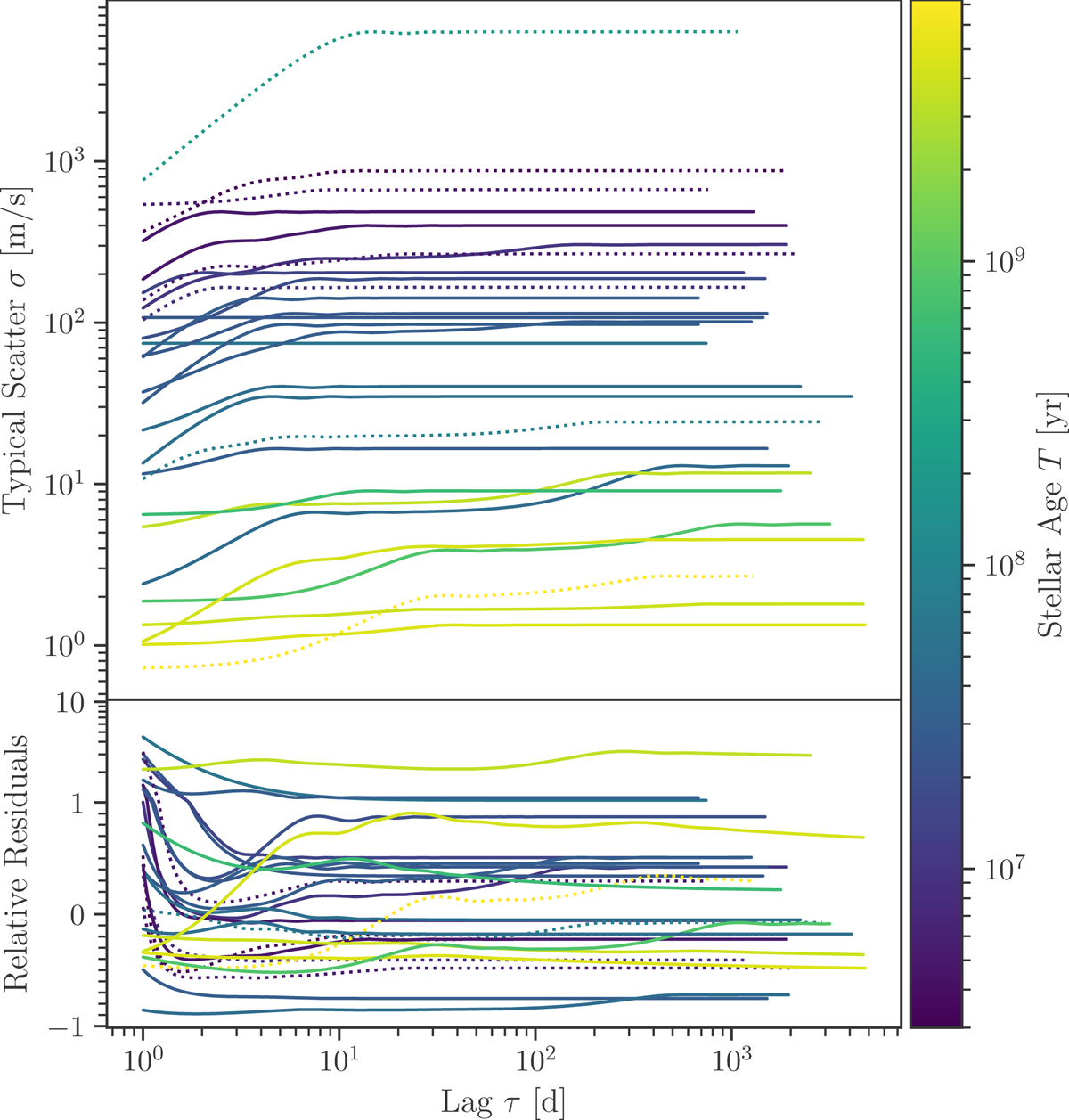
Fig. 3.

Top: fitted RV jitter of the 28 RV datasets of the 27 stars using the procedure described in Sect. 3.4. The color indicates the age of the star, showing a clear correspondence between RV jitter and age. The dotted lines corresponds to the binaries and are not used to fit the age–lag–activity model. The outlier at the top is HD 51062, the newly identified SB. Bottom: residuals of the above, ignoring HD 51062, from the more complex age–lag–activity model (b), divided by the model value. The model is described in Sect. 4, Eq. (6). We highlight the linear scale between −1 and 1 and a log-scale for values greater than 1. HD 51062 is excluded from the residuals.
Current usage metrics show cumulative count of Article Views (full-text article views including HTML views, PDF and ePub downloads, according to the available data) and Abstracts Views on Vision4Press platform.
Data correspond to usage on the plateform after 2015. The current usage metrics is available 48-96 hours after online publication and is updated daily on week days.
Initial download of the metrics may take a while.