Free Access
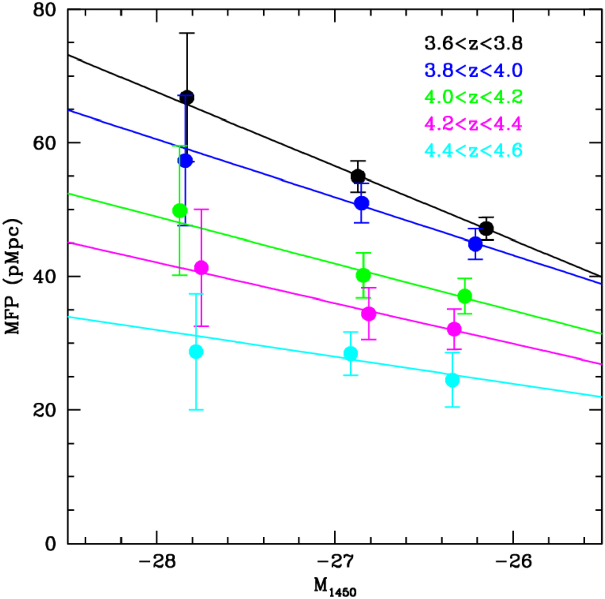
Fig. 10.

Average values of the free paths for all SDSS QSOs at 3.6 ≤ z ≤ 4.6 and I ≤ 20.0, divided into redshift and absolute magnitude M1450 bins. The vertical bars are the standard error of the mean in each bin of absolute magnitude. The lines show the best linear fit to the observed mean points for each redshift bin.
Current usage metrics show cumulative count of Article Views (full-text article views including HTML views, PDF and ePub downloads, according to the available data) and Abstracts Views on Vision4Press platform.
Data correspond to usage on the plateform after 2015. The current usage metrics is available 48-96 hours after online publication and is updated daily on week days.
Initial download of the metrics may take a while.