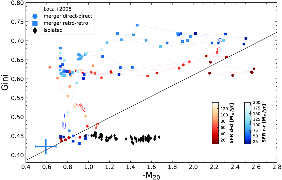
Fig. 11.

Time evolution of the Gini and M20 parameters for simulated prograde-prograde and retrograde-retrograde collisions (respectively, orange and blue points or connecting lines). The P and C symbols indicate, respectively, the first pericenter passage and the coalescence, as defined in the text. We can notice that isolated galaxies spend all their lifetime in the not-merger region (according to the separation line by Lotz et al. 2008), while ongoing merging systems are mostly located above the morphological merger criterion. For each simulation subset, the points are color-coded according to the specific SFR, while black arrows indicate the positive direction of time.
Current usage metrics show cumulative count of Article Views (full-text article views including HTML views, PDF and ePub downloads, according to the available data) and Abstracts Views on Vision4Press platform.
Data correspond to usage on the plateform after 2015. The current usage metrics is available 48-96 hours after online publication and is updated daily on week days.
Initial download of the metrics may take a while.