Free Access

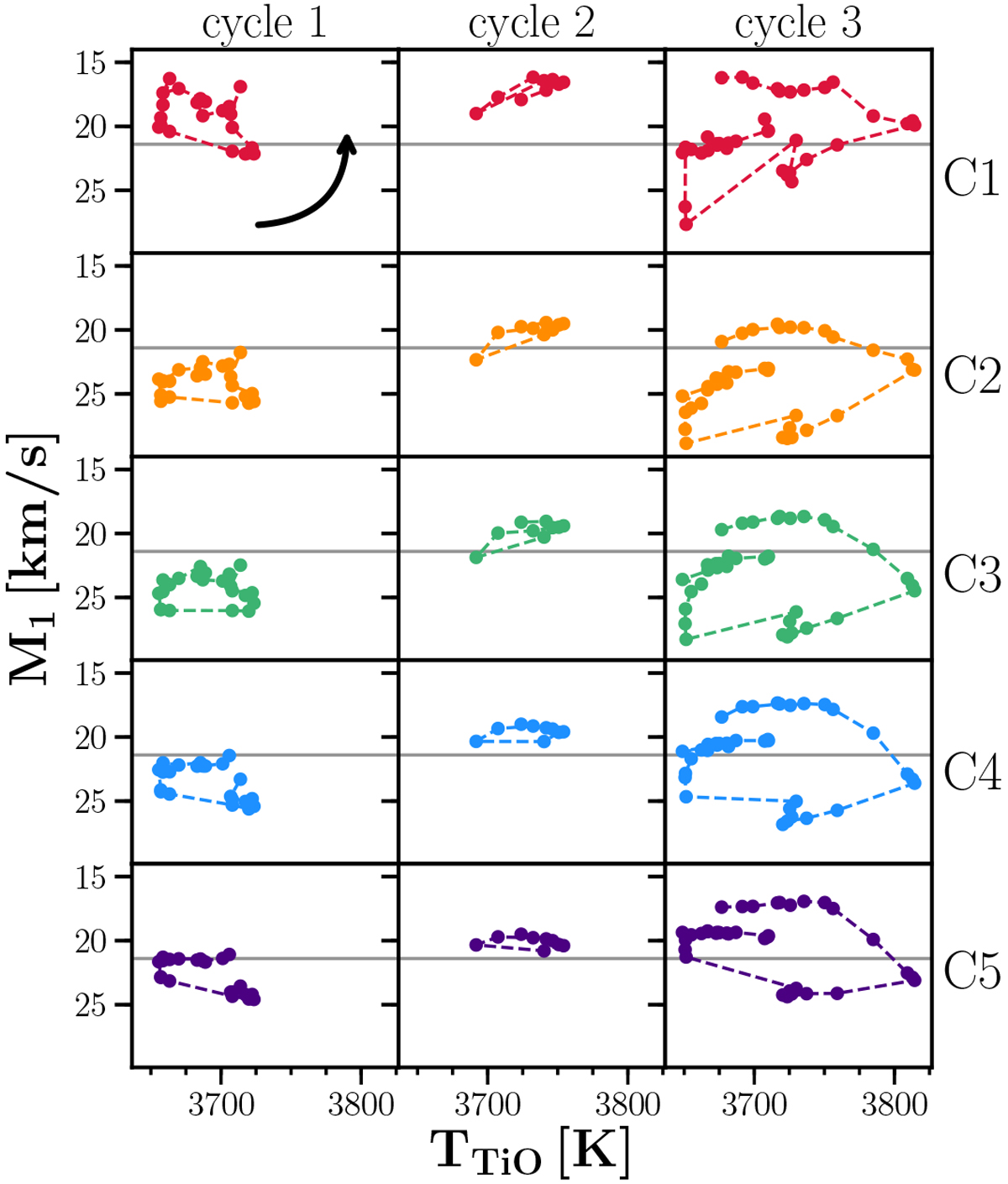
Fig. 4

image

From left to right: hysteresis loops between TiO-band temperature and M1 velocity for three pseudo light cycles of μ Cep (identified as shaded areas in Fig. 3). From top to bottom: M1 velocity measured in different masks, from C1 probing innermost atmospheric layer, to C5 probing outermost layer. Horizontal lines in all panels indicate the mean RV from all masks. The arrow indicates the direction of evolution along the hysteresis loops.

Current usage metrics show cumulative count of Article Views (full-text article views including HTML views, PDF and ePub downloads, according to the available data) and Abstracts Views on Vision4Press platform.

Data correspond to usage on the plateform after 2015. The current usage metrics is available 48-96 hours after online publication and is updated daily on week days.

Initial download of the metrics may take a while.