Free Access
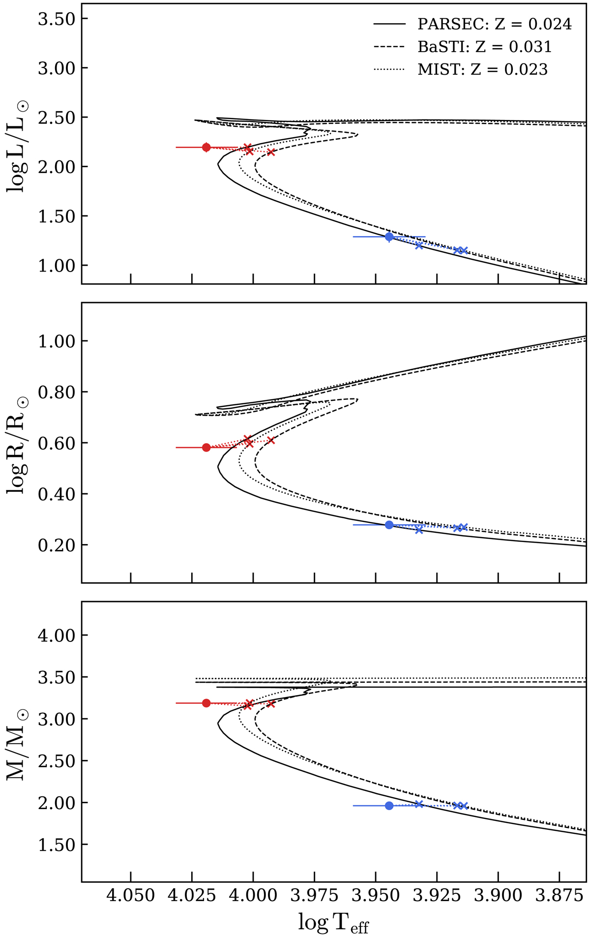
Fig. 14.

Fitted PARSEC, BaSTI, and MIST isochrones for the ψ Cen system. The gray isochrones correspond to a metallicity of [Fe/H] = 0.1 dex, and the black isochrones are for 0.05 dex. We note that the luminosity is not fitted and is estimated from the Stefan–Boltzmann law.
Current usage metrics show cumulative count of Article Views (full-text article views including HTML views, PDF and ePub downloads, according to the available data) and Abstracts Views on Vision4Press platform.
Data correspond to usage on the plateform after 2015. The current usage metrics is available 48-96 hours after online publication and is updated daily on week days.
Initial download of the metrics may take a while.