Free Access
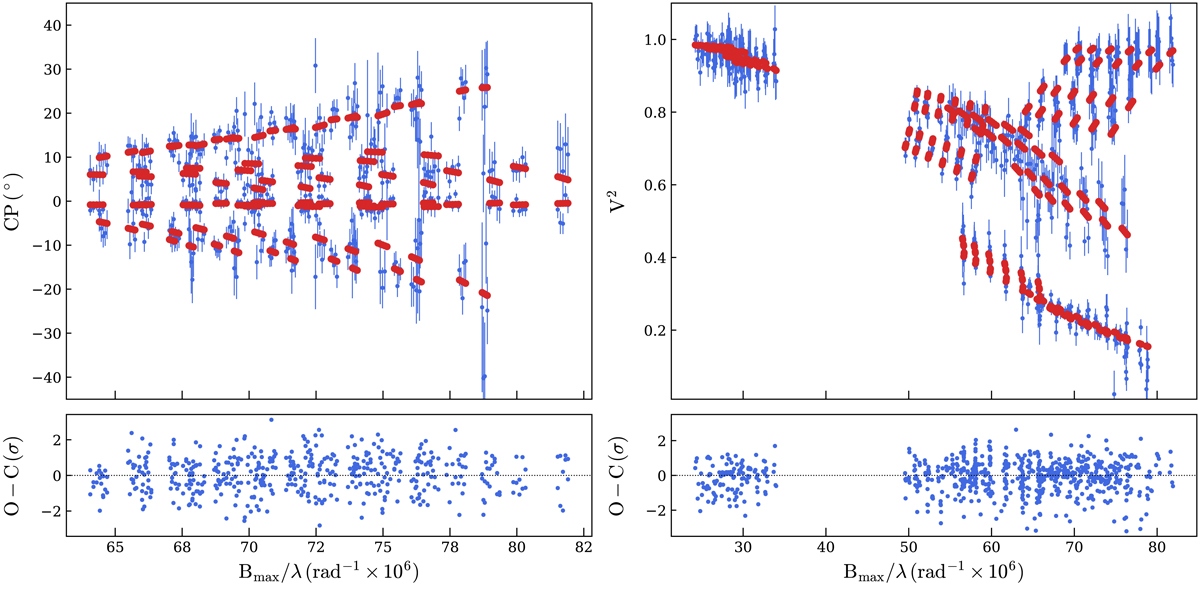
Fig. 2.

Closure phase and squared visibility measurements of the last measurements of AI Phe. The data are plotted in blue, and the red dots represent the fitted binary model for this epoch. The residuals (in number of sigmas) are also shown in the bottom panels.
Current usage metrics show cumulative count of Article Views (full-text article views including HTML views, PDF and ePub downloads, according to the available data) and Abstracts Views on Vision4Press platform.
Data correspond to usage on the plateform after 2015. The current usage metrics is available 48-96 hours after online publication and is updated daily on week days.
Initial download of the metrics may take a while.