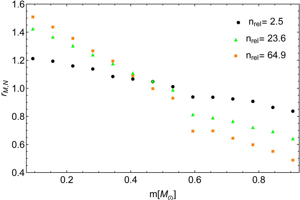
Fig. 1.

Variation of rM, N, that is the half-mass radius normalized to global half-mass-radius of each simulation, with stellar mass. The simulations considered, Sim 3 at 11 Gyr (black circles), Sim 6 at 7 Gyr (green triangles), and Sim 5 at 7 Gyr (orange squares), show a decreasing trend with mass. The fact that also the least relaxed simulated state (with nrel = 2.5) shows mass segregation suggests that this process sets in efficiently after very few relaxation times.
Current usage metrics show cumulative count of Article Views (full-text article views including HTML views, PDF and ePub downloads, according to the available data) and Abstracts Views on Vision4Press platform.
Data correspond to usage on the plateform after 2015. The current usage metrics is available 48-96 hours after online publication and is updated daily on week days.
Initial download of the metrics may take a while.