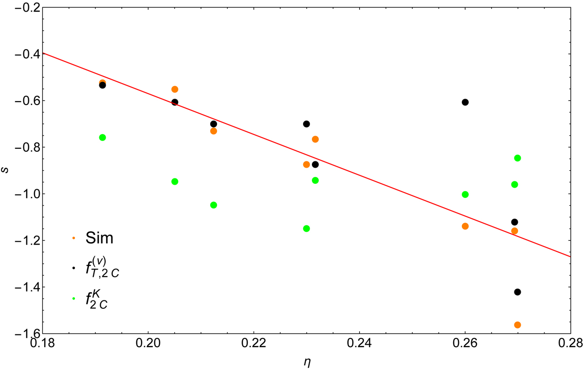
Fig. 5.

Relation between slope of the half-mass radius profiles and equipartition parameter η for simulated states (orange): a linear relation (red line) is found between the two parameters. The linear relation shows that clusters characterized by a higher level of energy equipartition display a higher level of mass segregation. To be comprehensive, we also show the corresponding points for which the half-mass radii are derived from the best-fit two-component models as black dots, and those obtained from the best-fit two-component King models (to be described in the next section) as green dots. There is a better correspondence between simulated states and the
models with respect to the King models.
Current usage metrics show cumulative count of Article Views (full-text article views including HTML views, PDF and ePub downloads, according to the available data) and Abstracts Views on Vision4Press platform.
Data correspond to usage on the plateform after 2015. The current usage metrics is available 48-96 hours after online publication and is updated daily on week days.
Initial download of the metrics may take a while.