Free Access

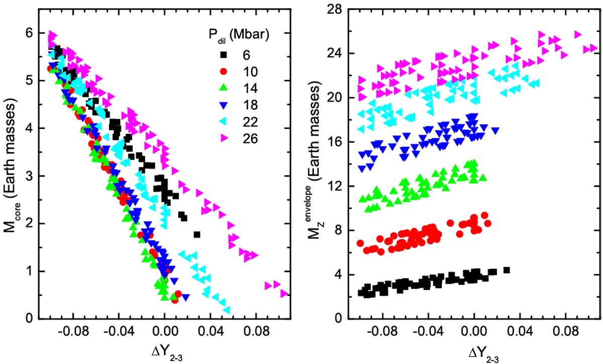
Fig. 8

image

Optimization solutions obtained with REOS3b vs. the change in the helium mass fraction from the metallic envelope to the dilute core region: the mass of the central compact core (left panel) and the heavy-element mass in the envelopes (right panel). The results are shown according to different dilute core sizes Pdil.

Current usage metrics show cumulative count of Article Views (full-text article views including HTML views, PDF and ePub downloads, according to the available data) and Abstracts Views on Vision4Press platform.

Data correspond to usage on the plateform after 2015. The current usage metrics is available 48-96 hours after online publication and is updated daily on week days.

Initial download of the metrics may take a while.