Table 3
CH N, J = 2, 3∕2 → 1, 1∕2 absorption line analysis using WF deconvolution algorithm and comparison of column densities with OH.
vmin | vmax | Rg,min (a) | Rg,max (a) | Remark (b) | N(CH) | N(H2) (c) | N(OH) (d) | |
---|---|---|---|---|---|---|---|---|
[km s−1] | [km s−1] | [kpc] | [kpc] | [1013 cm−2] | [1021 cm−2] | [1014 cm−2] | ||
AGAL010.624 − 00.384 | ||||||||
− 11 | − 2 | 8.9 | 11.6 | MC | >4.82 | – | >3.42 | |
− 2 | + 2 | 8.1 | 8.9 | MC | >4.84 | – | >10.21 | |
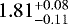
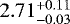
+ 2 | + 7 | 7.2 | 8.1 | Norma | 7.78![]() |
2.22 | 5.68![]() |
|
+ 7 | + 15 | 6.2 | 7.2 | Sgr | 15.70![]() |
4.48 | 6.54![]() |
|
+ 15 | + 20 | 5.7 | 6.2 | 25.26![]() |
7.21 | 14.45![]() |
||
+ 20 | + 31 | 4.8 | 5.7 | Scu/Per | 27.31![]() |
7.80 | 17.67![]() |
|
+ 31 | + 36 | 4.5 | 4.8 | 22.63![]() |
6.46 | S | ||
+ 36 | + 51 | 3.7 | 4.5 | Sgr | 5.31![]() |
1.51 | S | |
AGAL034.258+00.154 | ||||||||
+ 0 | + 16 | 7.5 | 8.5 | 1.65![]() |
0.47 | ![]() |
||
+ 16 | + 32 | 6.8 | 7.5 | Sgr | 1.51![]() |
0.43 | ![]() |
|
+ 32 | + 38 | 6.5 | 6.8 | 0.76![]() |
0.22 | ![]() |
||
+ 38 | + 68 | 5.5 | 6.5 | MC | >9.35 | – | S | |
AGAL327.293 − 00.579 | ||||||||
− 61 | − 32 | 7.4 | 9.5 | Scu, MC | >9.68 | – | S | |
− 32 | − 25 | 9.5 | 10.2 | ![]() |
0.06 | ![]() |
||
− 25 | − 14 | 10.2 | 11.5 | ![]() |
0.31 | ![]() |
||
− 14 | − 6 | 11.5 | 12.6 | ![]() |
0.23 | ![]() |
||
− 6 | + 3 | 12.6 | 14.2 | ![]() |
0.06 | ![]() |
||
AGAL330.954 − 00.182 | ||||||||
−115 | − 75 | 4.1 | 5.0 | MC | >2.96 | – | S | |
− 75 | − 55 | 5.0 | 5.6 | ![]() |
1.09 | 1.23![]() |
||
− 55 | − 30 | 5.6 | 6.6 | Norma | ![]() |
1.04 | S | |
− 30 | − 10 | 6.6 | 7.7 | Scu | ![]() |
0.05 | ![]() |
|
− 10 | + 4 | 7.7 | 8.8 | Norma | ![]() |
0.12 | ![]() |
|
AGAL332.826 − 00.549 | ||||||||
− 81 | − 50 | 4.7 | 5.6 | Norma, MC | > 5.00 | – | S | |
− 50 | − 40 | 5.6 | 6.0 | ![]() |
0.32 | ![]() |
||
− 40 | − 32 | 6.0 | 6.4 | ![]() |
0.09 | ![]() |
||
− 32 | − 8 | 6.4 | 7.8 | Sgr | ![]() |
0.20 | ![]() |
|
AGAL351.581 − 00.352 | ||||||||
−109 | − 88 | 2.0 | 2.3 | MC | > 3.65 | – | S | |
− 88 | − 68 | 2.3 | 2.7 | ![]() |
0.13 | ![]() |
||
− 68 | − 42 | 2.7 | 3.7 | Sgr | ![]() |
0.23 | ![]() |
|
− 42 | − 14 | 3.7 | 6.0 | Norma | ![]() |
0.76 | S | |
− 14 | − 12 | 6.0 | 6.2 | ![]() |
0.25 | ![]() |
||
− 12 | − 3 | 6.2 | 7.7 | Sgr | ![]() |
5.14 | ![]() |
|
− 3 | + 3 | 7.7 | 9.4 | Scu | ![]() |
0.85 | S | |
+ 3 | + 12 | 9.4 | 13.5 | ![]() |
0.12 | ![]() |
||
SgrB2(M) | ||||||||
−124 | − 67 | ![]() |
7.94 | – | ||||
− 67 | − 38 | ![]() |
0.90 | – | ||||
− 38 | − 12 | 3 kpc | ![]() |
1.30 | – | |||
− 12 | + 8 | GC | ![]() |
1.79 | – | |||
+ 8 | + 29 | Sgr | ![]() |
1.31 | – | |||
+ 29 | + 40 | Scu | ![]() |
0.25 | – | |||
+ 40 | + 90 | MC | >73.02 | – | – |
Notes. (a) The galactocentric distances for each velocity interval is computed using, , with R0 = 8.3 kpc, Θ0 = 240 km s−1 and assuming a flat Galactic rotation curve, i.e, Θ(RG) = Θ0. Note that we do not account for the non-circular motion of the 3 kpc arm (Dame & Thaddeus 2008). (b) The positions of the four main spiral arms and the local arms have been inferred from the spiral arm characteristics presented in Reid et al. (2014) and the velocities corresponding to the molecular cloud envelopes are indicated by MC. (c) N(H2) is derived from [CH]/[H2] = 3.5 × 10−8 given by Sheffer et al. (2008). (d)S denotes velocity components with saturated absorption line profiles.
Current usage metrics show cumulative count of Article Views (full-text article views including HTML views, PDF and ePub downloads, according to the available data) and Abstracts Views on Vision4Press platform.
Data correspond to usage on the plateform after 2015. The current usage metrics is available 48-96 hours after online publication and is updated daily on week days.
Initial download of the metrics may take a while.